研究报道

浙南乐清湾滨海湿地重金属分布对土壤碳组分的影响

  • 吴雪 , 1 ,
  • 赵鑫 , 1, * ,
  • 孙鸿程 1 ,
  • 辜伟芳 1 ,
  • 朱科桦 2 ,
  • 葛振鸣 2
展开
  • 1.浙江省海洋科学院, 浙江 杭州 310012
  • 2.华东师范大学 河口海岸学国家重点实验室,上海 200241
* 赵鑫(1978—),男,正高级工程师,主要从事生态学研究,E-mail:

吴雪(1993—),女,安徽省滁州市人,主要从事湿地生态学研究,E-mail:

收稿日期: 2024-08-29

  修回日期: 2024-12-19

  网络出版日期: 2025-10-15

基金资助

国土空间精细化治理关键技术研发及应用-海洋国土空间精细化治理关键技术研发及应用(2025C02016)

国家质量基础设施体系专项海洋生态监测NQI研究成果集成示范应用(2023YFF0611804)

浙江省领雁研发攻关计划(2022C03G1253994)

浙江“蓝碳”资源调查监测与评估试点项目(330000220130313013007)

Influence of soil heavy metal distribution on carbon components in the coastal wetlands of Yueqing Bay in southern Zhejiang Province

  • WU Xue , 1 ,
  • ZHAO Xin , 1, * ,
  • SUN Hongcheng 1 ,
  • GU Weifang 1 ,
  • ZHU Kehua 2 ,
  • GE Zhenming 2
Expand
  • 1. Marine Academy of Zhejiang Province, Hangzhou 310012, China
  • 2. State Key Laboratory of Estuarine and Coastal Research, East China Normal University, Shanghai 200241, China

Received date: 2024-08-29

  Revised date: 2024-12-19

  Online published: 2025-10-15

摘要

滨海湿地生态系统具有重要的碳汇功能。人类生活和工农业生产会向湿地输入重金属,但其对湿地土壤不同碳组分的影响尚不清楚。本研究通过对比浙南乐清湾不同类型滨海湿地的土壤碳组分含量以及方差分析发现:成林红树林、幼林红树林、互花米草盐沼和光滩的土壤有机碳(soil organic carbon, SOC)、易氧化有机碳(easily oxidized organic carbon, EOC)和可溶性有机碳(dissolved organic carbon, DOC)含量呈显著的区域和生境间差异;土壤总碳(soil total carbon, STC)和微生物生物量碳(microbial biomass carbon, MBC)含量在不同区域间具有显著差异。通过湿地土壤重金属的空间分布可知,临近企业和居民区(高干扰区)的湿地土壤Cd、Pb和Hg含量显著高于低干扰区域,高干扰区的湿地STC、SOC和EOC含量低于低干扰区。通过冗余分析发现:互花米草盐沼STC、SOC和EOC含量与Hg、Cd含量呈显著负相关,成林红树林SOC和EOC含量与Pb、Zn含量呈显著负相关,幼林红树林STC、SOC和EOC含量与Pb、Cr含量呈显著负相关,光滩STC、SOC和EOC含量与Cd、Cr含量呈显著负相关,这反映了重金属含量升高会对土壤碳库产生负面影响;土壤MBC含量与部分重金属含量呈显著正相关关系,这表明滨海湿地土壤微生物群落对于部分低含量重金属有一定的适应性。本研究结果可为浙江省滨海湿地环境质量评估与自然碳汇管理提供科学依据。

本文引用格式

吴雪 , 赵鑫 , 孙鸿程 , 辜伟芳 , 朱科桦 , 葛振鸣 . 浙南乐清湾滨海湿地重金属分布对土壤碳组分的影响[J]. 海洋学研究, 2025 , 43(3) : 110 -122 . DOI: 10.3969/j.issn.1001-909X.2025.03.011

Abstract

Coastal wetland ecosystems have important carbon sink function. Human life, industrial and agricultural production will input heavy metals into wetlands, however, the impacts of heavy metals on various soil carbon components are still unclear. Based on the comparison of the soil carbon component content in the different types of coastal wetlands in Yueqing Bay of southern Zhejiang Province, it was found that the contents of soil organic carbon (SOC), easily oxidizing organic carbon (EOC) and dissolved organic carbon (DOC) in the adult mangroves, young mangroves, Spartina alterniflora salt marshes and mudflats presented the significant regional and inter-habitat differences. Soil total carbon (STC) and microbial biomass carbon (MBC) presented the significant regional differences. By monitoring the spatial distribution of heavy metals, the results showed that the contents of Cd, Pb and Hg in the coastal wetlands adjacent to industrial/agricultural lands and residential area were higher than those in the non-disturbed areas. Correspondingly, the contents of STC, SOC and EOC of the high-disturbed wetlands were lower than those of the non-disturbed wetlands. Furthermore, the results of redundancy analyses (RDA) showed that the STC, SOC and EOC contents were significantly negatively correlated with the Hg and Cd content in the S. alterniflora salt marshes; the SOC and EOC contents were significantly negatively correlated with the Pb and Zn contents in the adult mangroves; the STC, SOC and EOC contents were significantly negatively correlated with the Pb and Cr contents in the young mangroves; and the STC, SOC and EOC contents were significantly negatively correlated with the Cd and Cr contents in the mudflats. This reflects that the increased heavy metals might cause a negative impact on the soil carbon pool. However, the RDA analysis indicated that the MBC content was positively correlated with some heavy metals, probably reflecting the adaptability of the microbial community in the coastal wetland to the low content of heavy metals. The results of this study can provide scientific basis and data support for the environmental quality assessment and natural carbon sink management of coastal wetlands in Zhejiang Province.

0 引言

位于海岸带的滨海湿地生态系统(如红树林、盐沼与海草床等)被誉为“蓝碳生态系统”[1]。在全球范围内,滨海湿地每年积累约53.65±5.13 Tg碳,约占海岸带有机碳埋藏量的30% [2]。滨海湿地植被具有较高的光合固碳能力,同时海岸带常年处于滞水或周期性水淹状态所形成的厌氧环境抑制了部分有机质分解,从而促进了有机物在土壤中的大量累积[3]
土壤碳库是地球表层系统中最大的碳库之一,其规模通常以土壤总碳(soil total carbon, STC)和土壤有机碳(soil organic carbon, SOC)的含量或储量表示[4-5]。SOC的组成决定了碳的积累和分解,特别是其中的活性组分易受环境变化的影响,并直接影响着全球陆地碳平衡[6]。土壤活性有机碳主要包括易氧化有机碳(easily oxidized organic carbon, EOC)、可溶性有机碳(dissolved organic carbon, DOC)和微生物生物量碳(microbial biomass carbon, MBC)等。这些活性有机碳在生态系统碳循环和生物有效性方面具有重要作用,并可以用于预测土壤碳库的长期变化趋势[7-9]
海岸带是全球人口最为密集、经济发展最为快速的区域。随着沿海港口、临海工业、养殖业和旅游业等的不断发展,大量污染物输入滨海湿地[10-11]。滨海湿地是陆海污染物的过滤器与缓冲器,记录着海岸带污染的过程与变化[12-13]。各种污染物中,重金属因其不易降解、残留时间长和毒性高等特点,对滨海湿地生态系统产生了较大影响[14-15]。海岸带重金属积累可能会影响湿地土壤的碳库功能:一方面,湿地植物虽然能承受一定量的重金属,但重金属含量过高会导致植物死亡,进而影响湿地的固碳功能[16-17];另一方面,重金属还会影响湿地土壤中的微生物群落,从而干扰土壤碳周转过程。但重金属变化对滨海湿地不同碳组分的影响尚不清楚。
浙江省作为我国的海洋大省,海岸线长达6 486 km,其中大陆海岸线长1 840 km,拥有丰富的滨海湿地资源,包括盐沼、红树林、淤泥质滩涂等湿地类型[18]。早期的浙江省海岸带以盐沼湿地为主,从20世纪50年代起,浙江省开始推进红树林北移来治理海岸带生态退化问题,目前已经形成大量的盐沼和红树林共存区[19]
乐清湾是中国红树林生长的最北端,也是浙江省最早引种红树林的区域之一。乐清湾为深入内陆的半封闭海湾,东侧是玉环市,西岸是乐清市,湾顶是温岭市。本研究以乐清湾的盐沼、人工恢复红树林和光滩等生境为对象,通过监测湿地土壤的多种碳组分及重金属含量,辨识碳组分及重金属的分布特征,分析重金属对湿地土壤碳组分的潜在影响。研究结果可为浙江省滨海湿地环境质量与自然碳汇管理提供参考,为海岸带生态系统修复和健康发展提供科学支撑。

1 材料与方法

1.1 研究区域

研究区域为浙江南部瓯江入海口北侧的乐清湾(27°5'N—28°23'N, 120°57'E—121°16'E)(图1)。20世纪50年代起,浙江省持续在乐清湾、象山湾和舟山群岛等地开展红树林北移引种[19]。根据本研究团队的实地调查,乐清湾人工种植红树林区域覆盖了茅埏岛、茅坦岛、江岩岛、大青岛、太平塘等多个潮滩,主要种类是秋茄(Kandelia candel)。20世纪80年代,互花米草(Spartina alterniflora)被引入到乐清湾,随后快速扩张[18]。乐清湾盐沼曾一度主要被互花米草占据,总面积最大时超过3 300 hm2[20]
图1 浙江省乐清湾滨海湿地互花米草盐沼、红树林和光滩土壤采样区域

Fig.1 Sampling sites for coastal wetland soil in the Spartina alterniflora salt marsh, mangrove forests, and mudflats in Yueqing Bay of Zhejiang Province

茅坦岛、江岩岛和大青岛等岛屿的工业与农业活动较少, 人为活动强度较低,基本保持了自然状态。茅埏岛和太平塘等地区人为活动影响较为突出,其滨海湿地周边分布有一定量的工业厂房和农业养殖区。因此,选择以上区域开展对比研究。

1.2 滨海湿地生境选择与沉积物样品采集

在乐清湾茅埏岛、茅坦岛、江岩岛、大青岛和太平塘的潮滩区域,选择互花米草盐沼、成林红树林(10~15年)、幼林红树林(5年)和光滩4种生境类型作为样品采集区(图1)。2022年秋(10月),分别在互花米草盐沼(14个站位)、成林红树林(14个站位)、幼林红树林(14个站位)和光滩(16个站位)布设调查站位共58个,采集表层沉积物样品。
表层沉积物使用硅胶铲采集, 先刮去表层2~5 cm的泥浆层, 随后采集地表至20~30 cm深度的沉积物, 并除去砾石、贝壳等粗大杂物。样品原始重量应大于2 000 g, 以确保干燥后小于20目(小于0.84 mm)的样品重量大于800 g。样品置于密封塑料袋中保存。

1.3 土壤碳组分测定

土壤样品经风干后做碎化处理,分离样品中的植物根系,去除石块、昆虫等杂物,混匀后取其中1 kg过2 mm筛,再取10~20 g用研钵细磨后过100目筛,然后取0.5 g备测。取10 mg土壤试样置于样品舟,利用CHNO元素分析仪测定土壤总碳含量(STC)。另取0.25 g土壤试样加入质量分数为10%的稀盐酸进行24 h酸化处理,去除其中的无机碳成分,用Mill-Q水冲洗至中性,置于60 ℃烘箱中烘至恒重,然后利用CHNO元素分析仪测定土壤有机碳含量(SOC)。
易分解有机碳含量(EOC)的测定采用高锰酸钾氧化法。称取15~30 mg的干燥过筛土壤样品置于50 mL离心管中,加入25 mL浓度为333 mmol/L的KMnO4溶液。同时制做3个空白样品。在200 r/min的振荡器上振荡1 h,再在4 000 r/min的离心机上离心5 min。从每一离心管中用移液器吸取0.4 mL滤液分别转入不同容量瓶,均用蒸馏水定容至100 mL(稀释250倍)。在分光光度计上测量波长565 nm下的吸光度,根据消耗的KMnO4计算EOC含量。
可溶性有机碳含量(DOC)使用总有机碳分析仪测定。取10 g新鲜土壤样品置于 100 mL离心管中,加入去离子水50 mL,振荡30 min后离心10 min (10 000 r/min),用0.45 μm的玻璃纤维滤膜过滤。同法制做空白对照试验(不称取土样)。滤液中的有机碳即为可溶性有机碳。
微生物生物量碳含量(MBC)采用氯仿熏蒸-硫酸钾浸提法测定。称取过2 mm筛的新鲜土样6份(每份12.5 g)分别置于6个小烧杯中。将其中3份土样放入真空干燥器中,干燥器底部放3个烧杯,分别放入氯仿(熏蒸)、水(保持湿度)和NaOH(吸收CO2)。抽真空时,先使氯仿剧烈沸腾3~5 min,随后在暗室放置24 h。熏蒸结束后取出氯仿,在通风橱中使样品中的氯仿全部散尽。另3份土壤放入另一干燥器中,其中同样放入水和NaOH,但不放氯仿。将熏蒸后的土样转移至150 mL三角瓶中,加入50 mL 浓度为0.5 mol/L 的K2SO4,振荡30 min后过滤。未熏蒸土样操作相同。将氯仿熏蒸样品与未熏蒸样品有机碳含量的差值除以系数0.45,则为MBC含量。

1.4 土壤重金属含量测定

土壤重金属As和Hg含量的检测方法依据为《海洋监测规范第5部分:沉积物分析》(GB 17378.5—2007)[21],使用AFS-933原子荧光光度计测定。Cu、Zn、Cd、Cr含量的检测方法依据为《海洋监测技术规程第2部分:沉积物》(HY/T 147.2—2013)[22],使用iCAP RQ电感耦合等离子体质谱仪测定。

1.5 数据统计方法

乐清湾滨海湿地土壤碳组分与重金属含量初始数据计算为平均值±标准差。采用单因素方差分析(one-way ANOVA)和Tukey HSD检验对5个研究区及不同生境的土壤碳组分与重金属含量差异进行显著性检验(显著性水平为p<0.05)。采用Pearson线性回归模型分析碳组分之间的相关性,并采用多元方差分析(multivariate analysis of variance, MANOVA)检验区位和生境类型对土壤碳组分与重金属含量的主效应和交互作用显著性(显著性水平为p<0.05)。以上统计分析均利用SPSS 23.0软件进行。最后,使用Canoco 5.0软件的冗余分析(redundancy analyses, RDA)检验不同湿地生境土壤重金属与土壤碳组分的相关性约束排序。

2 结果

2.1 不同区域和湿地生境的土壤碳组分分布

2.1.1 不同区域土壤碳组分的差异

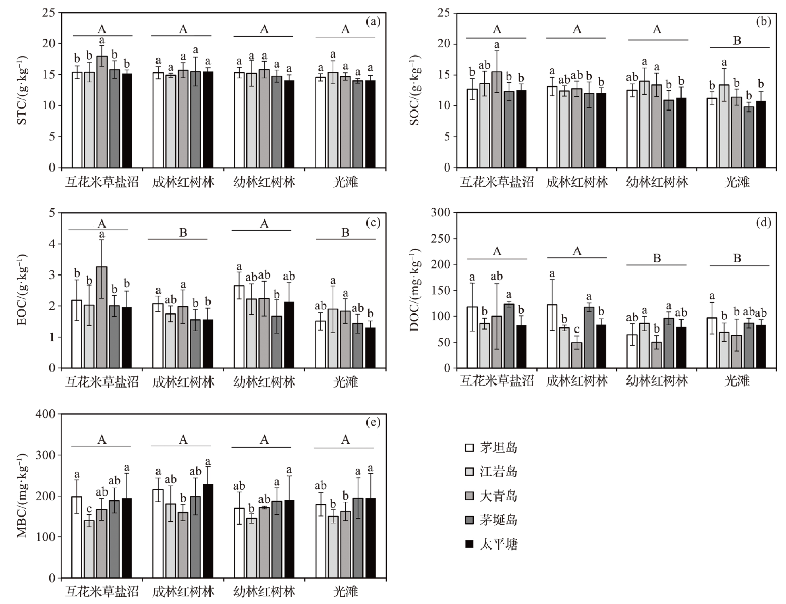
乐清湾茅坦岛、江岩岛、大青岛、茅埏岛和太平塘区域滨海湿地的土壤碳组分含量(表层平均值)见图2。乐清湾滨海湿地研究区STC含量范围为14.01~17.99 g/kg,不考虑生境类型(统计研究区各生境平均值,后文同此),区域间差异表现为大青岛>江岩岛>茅坦岛>茅埏岛>太平塘。研究区SOC含量的范围为9.82~15.54 g/kg,区域间差异表现为江岩岛>大青岛>茅坦岛>太平塘>茅埏岛。研究区土壤EOC含量的范围为1.30~3.26 g/kg,区域间差异表现为大青岛>茅坦岛>江岩岛>太平塘>茅埏岛。研究区土壤DOC含量的范围为49.65~123.44 mg/kg,区域间差异表现为茅埏岛>茅坦岛>太平塘>江岩岛>大青岛。研究区土壤MBC含量的范围为139.95~228.46 mg/kg,区域间差异表现为太平塘>茅埏岛>茅坦岛>大青岛>江岩岛。
图2 乐清湾不同区域滨海湿地生境土壤碳组分含量及其差异

(不同大写字母表示湿地生境类型间差异达到显著性水平,不同小写字母表示不同区域间差异达到显著性水平。)

Fig.2 Carbon component contents in the soil of coastal wetland habitats in different regions of Yueqing Bay and their differences

(Different capital letters indicate significant differences among wetland habitats, and different lowercase letters indicate significant differences among study areas.)

2.1.2 不同湿地生境土壤碳组分的差异

图2所示,大青岛的互花米草盐沼STC含量显著高于其他区域的互花米草盐沼(p<0.05),其他类型生境的STC含量在不同区域间差异不显著。
大青岛的互花米草盐沼SOC含量显著高于除江岩岛以外的其他区域的互花米草盐沼(p<0.05),茅坦岛的成林红树林SOC含量显著高于茅埏岛和太平塘的成林红树林(p<0.05),江岩岛和大青岛的幼林红树林SOC含量显著高于茅埏岛和太平塘的幼林红树林(p<0.05),江岩岛的光滩SOC含量显著高于其他区域的光滩(p<0.05)。
大青岛的互花米草盐沼EOC含量显著高于其他区域的互花米草盐沼(p<0.05),茅坦岛和大青岛的成林红树林EOC含量显著高于茅埏岛和太平塘的成林红树林(p<0.05),茅坦岛的幼林红树林EOC含量显著高于茅埏岛的幼林红树林(p<0.05),江岩岛和大青岛的光滩EOC含量显著高于太平塘的光滩(p<0.05)。
茅坦岛和茅埏岛的互花米草盐沼DOC含量显著高于江岩岛和太平塘的互花米草盐沼(p<0.05),茅坦岛和茅埏岛的成林红树林DOC含量显著高于其他区域的成林红树林(p<0.05),江岩岛和茅埏岛的幼林红树林DOC含量显著高于大青岛的幼林红树林(p<0.05),茅坦岛的光滩DOC含量显著高于江岩岛和大青岛的光滩(p<0.05)。
茅坦岛和太平塘的互花米草盐沼MBC含量显著高于江岩岛的互花米草盐沼(p<0.05),茅坦岛和太平塘的成林红树林MBC含量显著高于大青岛的成林红树林(p<0.05),茅埏岛和太平塘的幼林红树林MBC含量显著高于江岩岛的幼林红树林(p<0.05),茅埏岛和太平塘的光滩MBC含量显著高于江岩岛和大青岛的光滩(p<0.05)。
图2所示,不考虑研究区域,各生境的STC和MBC含量差异不显著;互花米草盐沼、成林红树林和幼林红树林SOC含量显著高于光滩;互花米草盐沼和幼林红树林EOC含量显著高于成林红树林和光滩;互花米草盐沼和成林红树林DOC含量显著高于幼林红树林和光滩。

2.1.3 湿地土壤碳组分之间的相关性及环境影响

综合5个研究区域及4类湿地生境,STC含量与SOC含量以及SOC含量与EOC含量呈显著正相关(p<0.05),MBC含量与SOC含量呈显著负相关(p<0.05),SOC含量与DOC含量相关性不显著(图3)。多元方差分析(考察区域、生境类型及其交互作用)表明(表1),区域差异对SOC、EOC和DOC含量有显著影响,湿地生境类型对STC、SOC和EOC含量有显著影响。区域×生境类型的交互作用对土壤碳组分的影响不显著(SOC除外)。
图3 土壤碳组分间的相关性

(综合5个研究区域和4类湿地生境。)

Fig.3 Correlations among soil carbon fractions

(Integrating 5 study areas and 4 types of wetland habitats.)

表1 区域和湿地生境对土壤碳组分的主效应与交互作用分析

Tab.1 Analysis on main and interactive effects of area and wetland habitat on soil carbon components

主效应/交互作用 STC SOC EOC DOC MBC
区域 2.437ns 5.024** 3.374* 7.692** 2.167ns
生境类型 9.899** 27.480** 9.118** 2.060ns 1.205ns
区域×生境类型 1.243ns 2.699* 1.389ns 1.104ns 0.521ns

注:“*”表示显著相关,p<0.05;“**”表示极显著相关,p<0.01;“ns”表示不显著相关,p>0.05。

2.2 不同区域和湿地生境的土壤重金属含量分布

2.2.1 不同区域土壤重金属含量的差异

乐清湾滨海湿地土壤重金属含量及分布见图4(表层平均值)。研究区土壤Cu含量的范围为37.77~42.27 mg/kg,区域间差异表现为太平塘>大青岛>江岩岛>茅坦岛>茅埏岛。研究区土壤Zn含量的范围为134.98~160.00 mg/kg,区域间差异表现为大青岛>太平塘>江岩岛>茅坦岛>茅埏岛。研究区土壤Cr含量的范围为94.35~105.77 mg/kg,区域间差异表现为太平塘>茅埏岛>大青岛>江岩岛>茅坦岛。研究区土壤Cd含量的范围为0.14~0.21 mg/kg,区域间差异表现为太平塘>茅埏岛>大青岛>江岩岛>茅坦岛。研究区土壤Pb含量的范围为31.50~40.85 mg/kg,区域间差异表现为茅埏岛>太平塘>大青岛>江岩岛>茅坦岛。研究区土壤As含量的范围为13.38~14.85 mg/kg,区域间差异表现为江岩岛>大青岛>茅埏岛>太平塘>茅坦岛。研究区土壤Hg含量的范围为0.06~0.08 mg/kg,区域间差异表现为太平塘>茅埏岛>大青岛>江岩岛>茅坦岛。
图4 乐清湾不同区域滨海湿地生境土壤重金属含量及其差异

(不同大写字母表示湿地生境类型间差异达到显著性水平,不同小写字母表示不同区域间差异达到显著性水平。)

Fig.4 Heavy metal contents in the soil of coastal wetland habitats in different regions of Yueqing Bay and their differences

(Different capital letters indicate significant differences among wetland habitats, and different lowercase letters indicate significant differences among study areas.)

2.2.2 不同湿地生境土壤重金属含量的差异

图4所示,江岩岛、大青岛和太平塘的互花米草盐沼土壤Cu含量显著高于茅埏岛的互花米草盐沼(p<0.05),其他类型生境中土壤Cu含量在不同区域间的差异不显著。
大青岛的互花米草盐沼土壤Zn含量显著高于其他区域的互花米草盐沼(p<0.05)。太平塘的成林红树林土壤Zn含量显著高于其他区域的成林红树林(p<0.05)。大青岛的幼林红树林土壤Zn含量显著高于其他区域的幼林红树林(p<0.05)。光滩土壤Zn含量在不同区域间的差异不显著。
太平塘的幼林红树林土壤Cr含量显著高于茅坦岛和江岩岛的幼林红树林(p<0.05)。其他类型生境中土壤Cr含量在不同区域间的差异不显著。
太平塘的互花米草盐沼土壤Cd含量显著高于茅坦岛和江岩岛的互花米草盐沼(p<0.05)。茅埏岛和太平塘的成林红树林土壤Cd含量显著高于茅坦岛、江岩岛和大青岛的成林红树林(p<0.05)。茅埏岛、太平塘和大青岛的幼林红树林土壤Cd含量显著高于茅坦岛和江岩岛的幼林红树林(p<0.05)。光滩土壤Cd含量在不同区域间的差异不显著。
太平塘的互花米草盐沼土壤Pb含量显著高于其他区域的互花米草盐沼(p<0.05)。茅埏岛和太平塘的成林红树林土壤Pb含量显著高于其他区域的成林红树林(p<0.05)。茅埏岛和太平塘的幼林红树林土壤Pb含量显著高于江岩岛和大青岛的幼林红树林(p<0.05)。光滩土壤Pd含量在不同区域间的差异不显著。
不同类型生境中土壤As含量在不同区域间的差异均不显著。
茅埏岛和太平塘的互花米草盐沼土壤Hg含量显著高于其他区域的互花米草盐沼(p<0.05)。茅埏岛和太平塘的成林红树林土壤Hg含量显著高于其他区域的成林红树林(p<0.05)。太平塘、茅埏岛和大青岛的幼林红树林土壤Hg含量显著高于其他区域的幼林红树林(p<0.05)。光滩土壤Hg含量在不同区域间的差异不显著。
多元方差分析(表2)表明,区域差异对土壤Cu、Zn、Cd、Pb和Hg含量有显著影响,湿地生境类型以及区域×生境类型的交互作用对土壤重金属含量的影响均不显著。
表2 区域和湿地生境对土壤重金属的主效应与交互作用分析

Tab.2 Analysis on main and interactive effects of area and wetland habitat on soil heavy metal content

主效应/交互作用 Cu Zn Cr Cd Pb As Hg
区域 5.814** 4.722* 0.693ns 5.189* 7.558** 1.627ns 5.889**
生境类型 0.456ns 0.507ns 0.442ns 2.266ns 2.762ns 0.935ns 0.815ns
区域×生境类型 0.139ns 0.122ns 0.093ns 1.005ns 1.098ns 0.102ns 0.140ns

注:“*”表示显著相关,p<0.05;“**”表示极显著相关,p<0.01;“ns”表示不显著相关,p>0.05。

2.3 土壤重金属对土壤碳组分的影响分析

根据图5所示的RDA分析,按前两位特征轴解释量计算,乐清湾互花米草盐沼、成林红树林、幼林红树林与光滩生境土壤碳组分含量与重金属含量的相关性解释量分别为89.67%、89.98%、89.43%和89.94%(轴1和轴2的解释量之和),达到较好的解释量标准。在互花米草盐沼生境,STC、SOC和EOC含量与Hg、Cd含量呈显著负相关关系,MBC含量与Hg含量呈显著正相关关系。在成林红树林生境,SOC和EOC含量与Pb、Zn含量呈显著负相关关系,DOC含量与Cu含量也呈显著负相关关系,而MBC含量与Pb含量呈显著正相关关系。在幼林红树林生境,STC、SOC和EOC含量与Pb、Cr含量呈显著负相关关系, DOC含量与Zn含量也呈显著负相关关系,而MBC含量与Pb、Cr含量呈显著正相关关系。在光滩生境,STC、SOC和EOC含量与Cd、Cr含量呈显著负相关关系,DOC含量与As含量也呈显著负相关关系,而MBC含量与Cd、Cr含量呈显著正相关关系。
图5 土壤重金属含量和土壤碳组分相关性的RDA排序

Fig.5 Relationships between the soil heavy metal contents and the soil carbon components from redundancy analysis (RDA)

3 讨论

3.1 滨海湿地不同生境土壤碳组分差异

浙江省滨海湿地的主要生境类型除了原有的亚热带盐沼和光滩,还包括人工恢复的红树林。目前大部分红树林碳库研究都集中在低纬度热带地区(福建以南区域)[23-24],而对于中纬度地区人工恢复的红树林生态系统碳组分研究还较为欠缺。本研究结果显示,乐清湾滨海湿地SOC含量占STC的80%以上,为土壤碳库的主要成分。红树林生境STC和SOC含量高于光滩(SOC差异达到显著水平),接近于互花米草盐沼。这表明红树林修复对于土壤碳汇的提升具有重要作用,且土壤碳汇能力随林龄增大而升高。湿地植物通过光合作用吸收大气中的CO2并同化为生物量,随后植物凋落物和残体及其根系分泌物不断输入土壤,在微生物的分解作用下,形成土壤有机质[24-25]。此外,红树林冠层与根系结构极为稠密,有利于捕获外源沉积物,促进其在滨海湿地沉积,这也是成林红树林固碳效率较高的原因之一[3]。但乐清湾幼林红树林SOC含量略低于互花米草盐沼。这是由于互花米草定居于本地的时间较长,且互花米草的年初级生产力较高,地上和地下生物量相加约为5 kg·m-2·a-1左右[26],其长期向土壤输入的调落物有机质可能较新引入的幼林红树林高。另一方面,种植幼林红树林时的土壤翻耕也可能导致一部分有机碳的释放。
土壤EOC与DOC成分不稳定,被认为是土壤中易被氧化或易流失的组分。EOC主要包括腐殖质和多糖[27],DOC主要来源于土壤有机质分解和凋落物浸提[28]。互花米草盐沼和成林红树林土壤DOC含量较高,这可能由于其土壤中新鲜DOC更多来源于地表植物残体分解与转化[29]。幼林红树林土壤EOC和DOC含量略低于互花米草盐沼,可能是由于幼林红树林树型和冠幅较小且密度较低,潮水频繁的冲刷更容易将植被凋落物冲刷走[30],而留存的凋落物减少,限制了供微生物分解的有机质,土壤EOC含量随之降低。
虽然MBC在SOC中所占比例较小,但对环境变化较为敏感,还会对土壤养分循环产生重要影响[31]。乐清湾湿地土壤的MBC含量体现了本底差异水平,如茅埏岛和太平塘的人工红树林树龄多为10~15年,相对较长的植被修复期有利于土壤微生物群落的发育和丰富度的提升,从而增加了MBC含量。

3.2 重金属对滨海湿地土壤碳组分的影响

乐清湾的茅坦岛、江岩岛和大青岛等岛屿工农业活动和人口居住量较少,基本保持了自然状态。而茅埏岛和太平塘的滨海湿地周边分布有较多的工业厂房和农业养殖区,人口密度也相对较高。一般来说,进入自然生态系统的外源重金属主要来自工业活动产生的固体和液体废弃物以及农业活动使用的农药、肥料、灌溉水等[32]。乐清湾大青岛与太平塘的部分湿地土壤Zn含量较高,茅埏岛和太平塘的湿地土壤Cd、Pb和Hg含量相对较高,土壤Cu含量差异基本不显著(除互花米草盐沼生境外)。光滩区域一般距离人类活动范围较远,受到重金属输入的影响相对较小。
由于单一重金属元素对土壤生物地球化学循环的影响较为复杂,本研究使用冗余分析的方法评估重金属的综合影响。分析结果显示,在互花米草盐沼和成林红树林生境,Cu含量与DOC呈负相关关系,而在成林红树林生境,Cu含量与STC呈正相关关系。在成林红树林生境,Zn含量与SOC和EOC呈负相关关系,在幼林红树林与DOC呈负相关关系。除此以外,Cu和Zn含量对其他土壤碳组分的影响不显著,这可能是由于Cu和Zn本身是植物生长及微生物代谢的营养元素。相关研究发现,当Cu和Zn含量处于较低水平时,土壤微生物在代谢过程中会利用其作为电子供体或受体,Cu和Zn不表现出毒性,反而会刺激微生物的活性[33]
Pb、Cd、Cr和Hg含量在大多数情况下与湿地土壤碳组分呈负相关关系(除MBC外)。重金属对滨海湿地植物的胁迫主要通过降低植物叶绿素的合成,钝化光合酶活性及关闭气孔,从而限制CO2的吸收效率及固碳功能[34]。重金属污染会导致土壤中有机物质储量与腐殖质质量下降,并干扰土壤有机物质的降解作用[35]。李志鹏[36]研究显示,重金属污染加速了饱和淹水条件下的土壤有机碳矿化速率,降低了土壤有机碳的积累。韦江玲等[16]研究发现Cr污染会破坏滨海湿地植物细胞质膜系统及主要细胞器的结构与功能,抑制植物生长并降低植物根系活力。重金属污染还会改变土壤微生物群落结构[37-38]。土壤EOC含量的减少和重金属毒性的作用也抑制了微生物的活性[39]。在重金属Cd的胁迫下,土壤微生物会消耗更多的基质进行呼吸并产生过量的CO2排放[40]
但重金属对土壤碳组分的影响机制较为复杂,也有学者提出了不同观点。VÁSQUEZ-MURRIETA等[41]指出,重金属污染影响了土壤有机碳的矿化速率,当Pb的浓度达到30 mg/kg以上时,土壤碳矿化速率与重金属浓度呈极显著负相关。章明奎等[42]认为,重金属在土壤中的富集降低了土壤微生物的活性,从而减弱了土壤中有机物质的矿化速率,使土壤有机质积累。龙健等[43]认为重金属污染导致土壤中纤维素分解菌数量的下降,并降低了植物残落物的分解速率。本研究中也发现在成林红树林生境中Cr含量和EOC、SOC呈正相关关系。因此,人类活动导致的重金属污染对滨海湿地碳组分的影响还需要更进一步的监测与分析。
重金属长期污染会降低土壤MBC,尤其对细菌、放线菌及真菌有显著影响[44]。一方面某些重金属元素会对土壤微生物产生特异生理毒性,从而抑制其个体生长和群落发育;另一方面多种重金属复合污染还会引起毒性放大作用,导致土壤微生物基质生物量减少[45]。然而,本研究发现乐清湾滨海湿地土壤MBC含量与一些重金属含量呈正相关,原因可能是:1)研究区域的土壤重金属含量可能并未达到严重污染程度;2)土壤微生物群落对重金属产生了一定的适应性。向彬等[46]认为土壤Cr、Zn、Cu和Pb胁迫改变了微生物区系组成,但长期来看微生物生长受到的抑制作用显著减弱。长期重金属胁迫下,土壤微生物会逐渐发展出适应性的防御机制[47]。例如芽孢杆菌对Hg、鞘氨醇单胞菌对Cu、假单胞菌对Cd都具有一定的耐受性,其主要包括生物吸附、胞外沉淀、胞内固定、生物转化和细胞外排等适应性机制[48-49]

4 结论

本研究通过对比浙南乐清湾不同类型滨海湿地的土壤碳组分差异,分析了湿地土壤碳组分与重金属分布之间的关系,得到以下结论。
1)浙南滨海湿地是重要的自然生态系统碳库。乐清湾红树林、互花米草盐沼和光滩的SOC、EOC和DOC含量呈现出显著的区域和生境间差异。这表明了红树林恢复及植被类型对湿地土壤碳库积累的重要性。
2)乐清湾茅埏岛和太平塘区域的滨海湿地由于临近工农业用地和居民区,部分土壤重金属元素显著高于低干扰区域,而以上高干扰区域的湿地STC、SOC和EOC含量也较低。这表明土壤中的重金属对土壤碳库有一定影响。
3)乐清湾滨海湿地土壤MBC含量与部分重金属含量呈正相关关系,这体现出低含量重金属条件下土壤微生物群落的功能适应性,但微生物群落的结构变化及其对土壤有机碳的利用还需要进一步探究。
[1]
MCLEOD E, CHMURA G L, BOUILLON S, et al. A blueprint for blue carbon: Toward an improved understanding of the role of vegetated coastal habitats in sequestering CO2[J]. Frontiers in Ecology and the Environment, 2011, 9(10): 552-560.

[2]
唐剑武, 叶属峰, 陈雪初, 等. 海岸带蓝碳的科学概念、研究方法以及在生态恢复中的应用[J]. 中国科学:地球科学, 2018, 48(6):661-670.

TANG J W, YE S F, CHEN X C, et al. Coastal blue carbon: Concept, study method, and the application to ecological restoration[J]. Scientia Sinica: Terrae, 2018, 48(6): 661-670.

[3]
DUARTE C M, LOSADA I J, HENDRIKS I E, et al. The role of coastal plant communities for climate change mitigation and adaptation[J]. Nature Climate Change, 2013, 3(11): 961-968.

[4]
张天雨, 葛振鸣, 张利权, 等. 崇明东滩湿地植被类型和沉积特征对土壤碳、氮分布的影响[J]. 环境科学学报, 2015, 35(3):836-843.

ZHANG T Y, GE Z M, ZHANG L Q, et al. Influence of saltmarsh vegetation and sedimentation on the distribution of soil carbon and nitrogen in the Chongming Dongtan wetlands[J]. Acta Scientiae Circumstantiae, 2015, 35(3): 836-843.

[5]
KUCHARIK C J, FOLEY J A, DELIRE C, et al. Testing the performance of a dynamic global ecosystem model: Water balance, carbon balance, and vegetation structure[J]. Global Biogeochemical Cycles, 2000, 14(3): 795-825.

[6]
SHERMAN R E, FAHEY T J, MARTINEZ P. Spatial patterns of biomass and aboveground net primary productivity in a mangrove ecosystem in the Dominican republic[J]. Ecosystems, 2003, 6(4): 384-398.

[7]
HAN L F, SUN K, JIN J, et al. Some concepts of soil organic carbon characteristics and mineral interaction from a review of literature[J]. Soil Biology and Biochemistry, 2016, 94: 107-121.

[8]
YANG X Y, REN W D, SUN B H, et al. Effects of contrasting soil management regimes on total and labile soil organic carbon fractions in a loess soil in China[J]. Geoderma, 2012, 177/178: 49-56.

[9]
万忠梅, 郭岳, 郭跃东. 土地利用对湿地土壤活性有机碳的影响研究进展[J]. 生态环境学报, 2011, 20(3):567-570.

DOI

WAN Z M, GUO Y, GUO Y D. Research progress on influence of land use on wetland soil active organic carbon[J]. Ecology and Environmental Sciences, 2011, 20(3): 567-570.

[10]
李春干, 代华兵. 1960—2010年广西红树林空间分布演变机制[J]. 生态学报, 2015, 35(18):5992-6006.

LI C G, DAI H B. Mechanism analysis of temporal dynamics in mangrove spatial distribution in Guangxi, China: 1960—2010[J]. Acta Ecologica Sinica, 2015, 35(18): 5992-6006.

[11]
李丽琳, 莫莉萍, 陆媛. 钦州港红树林湿地沉积物重金属含量研究[J]. 西部交通科技, 2014(5):76-80.

LI L L, MO L P, LU Y. Heavy metal content studies in sediments of Qinzhou Port mangrove wetlands[J]. Western China Communications Science & Technology, 2014(5): 76-80.

[12]
KELLER J A, WILSON GRIMES K, REEVE A S, et al. Mangroves buffer marine protected area from impacts of Bovoni Landfill, St. Thomas, United States Virgin Islands[J]. Wetlands Ecology and Management, 2017, 25(5): 563-582.

[13]
LAFRATTA A, SERRANO O, MASQUÉ P, et al. Seagrass soil archives reveal centennial-scale metal smelter contami-nation while acting as natural filters[J]. Science of the Total Environment, 2019, 649: 1381-1392.

[14]
BURGER J, GOCHFELD M. Spatial and temporal patterns in metal levels in eggs of common terns (Sterna hirundo) in New Jersey[J]. Science of the Total Environment, 2003, 311(1/2/3): 91-100.

[15]
NATESAN U, MADAN KUMAR M, DEEPTHI K. Mangrove sediments a sink for heavy metals? An assessment of Muthupet mangroves of Tamil Nadu, southeast coast of India[J]. Environmental Earth Sciences, 2014, 72(4): 1255-1270.

[16]
韦江玲, 潘良浩, 陈元松, 等. 重金属Cr6+胁迫对茳芏生理生态特征的影响[J]. 广西植物, 2014, 34(1):89-94.

WEI J L, PAN L H, CHEN Y S, et al. Physiological and ecological characteristics of Cyperus malaccensis to Cr6+ stress[J]. Guihaia, 2014, 34(1): 89-94.

[17]
周晨昊, 毛覃愉, 徐晓, 等. 中国海岸带蓝碳生态系统碳汇潜力的初步分析[J]. 中国科学:生命科学, 2016, 46(4):475-486.

ZHOU C H, MAO Q Y, XU X, et al. Preliminary analysis of C sequestration potential of blue carbon ecosystems on Chinese coastal zone[J]. Scientia Sinica: Vitae, 2016, 46(4): 475-486.

[18]
王斌, 杨校生, 张彪, 等. 浙江省滨海湿地生态系统服务及其价值研究[J]. 湿地科学, 2012, 10(1):15-22.

WANG B, YANG X S, ZHANG B, et al. Assessment of ecosystem services and value of coastal wetlands in Zhejiang Province[J]. Wetland Science, 2012, 10(1): 15-22.

[19]
陈秋夏, 杨升, 刘星. 浙江红树林发展现状与思考[J]. 浙江林业, 2022(7):26-27.

CHEN Q X, YANG S, LIU X. Present situation and thinking of mangrove development in Zhejiang Province[J]. Zhejiang Forestry, 2022(7): 26-27.

[20]
吴雪, 赵鑫, 辜伟芳, 等. 浙南海岸带人工秋茄(Kandelia obovata)红树林与互花米草(Spartina alterniflora)盐沼土壤碳汇对比研究[J]. 热带海洋学报, 2025, 44(1):172-181.

WU X, ZHAO X, GU W F, et al. Comparative study on soil carbon sinks of artificial Kandelia obovate mangrove and Spartina alterniflora salt marsh in southern Zhejiang coastal zone[J]. Journal of Tropical Oceanography, 2025, 44(1): 172-181.

[21]
国家质量监督检验检疫总局, 中国国家标准化管理委员会. 海洋监测规范第5部分:沉积物分析: GB 17378.5—2007[S]. 北京: 中国标准出版社, 2007.

General Administration of Quality Supervision, Inspection and Quarantine of the People’s Republic of China, Standardization Administration of the People’s Republic of China. The specification for marine monitoring—Part 5: Sediment analysis: GB 17378.5—2007[S]. Beijing: Standards Press of China, 2007.

[22]
国家海洋局. 海洋监测技术规程第2部分:沉积物: HY/T 147.2—2013[S]. 北京: 中国标准出版社, 2013.

State Oceanic Administration. Code of practice for marine monitoring technology-Part 2: Sediment: HY/T 147.2—2013[S]. Beijing: Standards Press of China, 2013.

[23]
SASMITO S D, SILLANPÄÄ M, HAYES M A, et al. Mangrove blue carbon stocks and dynamics are controlled by hydrogeomorphic settings and land-use change[J]. Global Change Biology, 2020, 26(5): 3028-3039.

DOI PMID

[24]
SONG S S, DING Y L, LI W, et al. Mangrove reforestation provides greater blue carbon benefit than afforestation for mitigating global climate change[J]. Nature Communications, 2023, 14: 756.

DOI PMID

[25]
CHMURA G L, ANISFELD S C, CAHOON D R, et al. Global carbon sequestration in tidal, saline wetland soils[J]. Global Biogeochemical Cycles, 2003, 17(4): 2002GB001917.

[26]
GE Z M, GUO H Q, ZHAO B, et al. Plant invasion impacts on the gross and net primary production of the salt marsh on eastern coast of China: Insights from leaf to ecosystem[J]. Journal of Geophysical Research: Biogeosciences, 2015, 120(1): 169-186.

[27]
CONTEH A, BLAIR G J, LEFROY R, et al. Labile organic carbon determined by permanganate oxidation and its relationships to other measurements of soil organic carbon[J]. Humic Substances in the Environment, 1999, 1(1): 3-15.

[28]
MCDOWELL W H, LIKENS G E. Origin, composition, and flux of dissolved organic carbon in the Hubbard brook valley[J]. Ecological Monographs, 1988, 58(3): 177-195.

[29]
HOBBIE E A, JOHNSON M G, RYGIEWICZ P T, et al. Isotopic estimates of new carbon inputs into litter and soils in a four-year climate change experiment with Douglas-fir[J]. Plant and Soil, 2004, 259(1): 331-343.

[30]
BOUILLON S, BORGES A V, CASTAÑEDA-MOYA E, et al. Mangrove production and carbon sinks: A revision of global budget estimates[J]. Global Biogeochemical Cycles, 2008, 22(2): 2007GB003052.

[31]
FREY S D, DRIJBER R, SMITH H, et al. Microbial biomass, functional capacity, and community structure after 12 years of soil warming[J]. Soil Biology and Biochemistry, 2008, 40(11): 2904-2907.

[32]
LI Q S, WU Z F, CHU B, et al. Heavy metals in coastal wetland sediments of the Pearl River Estuary, China[J]. Environmental Pollution, 2007, 149(2): 158-164.

PMID

[33]
FLIEBBACH A, MARTENS R, REBER H H. Soil microbial biomass and microbial activity in soils treated with heavy metal contaminated sewage sludge[J]. Soil Biology and Biochemistry, 1994, 26(9): 1201-1205.

[34]
SEREGIN I V, IVANOV V B. Physiological aspects of cadmium and lead toxic effects on higher plants[J]. Russian Journal of Plant Physiology, 2001, 48(4): 523-544.

[35]
PALMBORG C, BRINGMARK L, BRINGMARK E, et al. Multivariate analysis of microbial activity and soil organic matter at a forest site subjected to low-level heavy metal contamination[J]. Ambio, 1998, 27(1): 53-57.

[36]
李志鹏. 土地利用变化和重金属污染对水稻土土壤呼吸和有机碳损失的影响[D]. 南京: 南京农业大学, 2009.

LI Z P. Impacts of land use change and heavy metal pollution on soil respiration and organic carbon reduction from paddy soil[D]. Nanjing: Nanjing Agricultural University, 2009.

[37]
BROOKES P C. The use of microbial parameters in monitoring soil pollution by heavy metals[J]. Biology and Fertility of Soils, 1995, 19(4): 269-279.

[38]
SHIRZADEH N, ALIASGHARZAD N, NAJAFI N. Changes in enzyme activities, microbial biomass, and basal respiration of a sandy loam soil upon long-term exposure to Pb levels[J]. Archives of Agronomy and Soil Science, 2022, 68(8): 1049-1061.

[39]
BORE E K, APOSTEL C, HALICKI S, et al. Soil microorganisms can overcome respiration inhibition by coupling intra- and extracellular metabolism: 13C metabolic tracing reveals the mechanisms[J]. The ISME Journal, 2017, 11(6): 1423-1433.

[40]
XU Y L, SESHADRI B, SARKAR B, et al. Biochar modulates heavy metal toxicity and improves microbial carbon use efficiency in soil[J]. Science of the Total Environment, 2018, 621: 148-159.

[41]
VÁSQUEZ-MURRIETA M S, MIGUELES-GARDUÑO I, FRANCO-HERNÁNDEZ O, et al. C and N mineralization and microbial biomass in heavy-metal contaminated soil[J]. European Journal of Soil Biology, 2006, 42(2): 89-98.

[42]
章明奎, 王丽平. 重金属污染对土壤有机质积累的影响[J]. 应用生态学报, 2007, 18(7):1479-1483.

ZHANG M K, WANG L P. Impact of heavy metals pollution on soil organic matter accumulation[J]. Chinese Journal of Applied Ecology, 2007, 18(7): 1479-1483.

[43]
龙健, 黄昌勇, 滕应, 等. 矿区废弃地土壤微生物及其生化活性[J]. 生态学报, 2003, 23(3):496-503.

LONG J, HUANG C Y, TENG Y, et al. Preliminary study on soil microbes and soil biochemical activities in mining wasteland[J]. Acta Ecologica Sinica, 2003, 23(3): 496-503.

[44]
谢正苗, 卡里德, 黄昌勇, 等. 镉铅锌污染对红壤中微生物生物量碳氮磷的影响[J]. 植物营养与肥料学报, 2000, 6(1):69-74.

XIE Z M, KHAN K S, HUANG C Y, et al. Effect of Cadmium, Lead and Zinc on microbial biomass carbon, nitrogen, and phosphorus in red soil[J]. Plant Natrition and Fertilizen Science, 2000, 6(1): 69-74.

[45]
APONTE H, MELI P, BUTLER B, et al. Meta-analysis of heavy metal effects on soil enzyme activities[J]. Science of the Total Environment, 2020, 737: 139744.

[46]
向彬, 王彬, 徐卫红, 等. 重金属Cd、Zn、Cu、Pb对土壤微生物和酶活性的影响[J]. 氨基酸和生物资源, 2012, 34(3):4-8.

XIANG B, WANG B, XU W H, et al. Effects of Cd, Zn, Cu and Pb on soil microbial biomass and enzyme activities[J]. Amino Acids & Biotic Resources, 2012, 34(3): 4-8.

[47]
PAL A, BHATTACHARJEE S, SAHA J, et al. Bacterial survival strategies and responses under heavy metal stress: A comprehensive overview[J]. Critical Reviews in Microbiology, 2022, 48(3): 327-355.

[48]
NIES D H. How cells control Zinc homeostasis[J]. Science, 2007, 317(5845): 1695-1696.

[49]
PRABHAKARAN P, ASHRAF M A, AQMA W S. Microbial stress response to heavy metals in the environment[J]. RSC Advances, 2016, 6(111): 109862-109877.

文章导航

/