研究论文

新型海堤生态护面块体消浪性能试验

  • 李晓燕 , 1 ,
  • 叶俊炜 , 2, 3, * ,
  • 沈家法 1 ,
  • 罗志伟 4 ,
  • 郑昕 2, 3 ,
  • 赵海涛 2, 3
展开
  • 1.自然资源部第二海洋研究所,浙江 杭州 310012
  • 2.浙江水利水电学院 水利工程学院,浙江 杭州 310018
  • 3.浙江海洋大学 海洋工程装备学院,浙江 舟山 316022
  • 4.中建新城建设工程有限公司,江苏 苏州 215100
* 叶俊炜(2000—),男,主要从事波浪与结构物相互作用研究,E-mail:

李晓燕(1981—),女,浙江省宁波市人,高级工程师,主要从事港口海岸及近海工程研究,E-mail:

收稿日期: 2024-12-26

  修回日期: 2025-03-20

  网络出版日期: 2025-10-15

基金资助

浙江省自然科学基金联合基金项目(ZJWZ23E090009)

Experiments on wave dissipation performance of a new seawall ecological armour block

  • LI Xiaoyan , 1 ,
  • YE Junwei , 2, 3, * ,
  • SHEN Jiafa 1 ,
  • LUO Zhiwei 4 ,
  • ZHENG Xin 2, 3 ,
  • ZHAO Haitao 2, 3
Expand
  • 1. Second Institute of Oceanography, MNR, Hangzhou 310012, China
  • 2. School of Hydraulic Engineering, Zhejiang University of Water Resources and Electric Power, Hangzhou 310018, China
  • 3. School of Marine Engineering Equipment, Zhejiang Ocean University, Zhoushan 316022, China
  • 4. CSCEC New City Construction Engineering Co., Ltd., Suzhou 215100, China

Received date: 2024-12-26

  Revised date: 2025-03-20

  Online published: 2025-10-15

摘要

新型海堤生态护面块体是一种兼具优良消浪性能与生态功能的护面结构。为系统评估其消浪性能,本研究以舟山周家园山海岛为工程背景,开展了二维波浪水槽物理模型试验,系统探究了在规则波作用下,波浪周期、波高、相对水深、波陡、破波参数、块体几何尺寸(外径与高度)以及材料对反射系数的影响。研究首先通过9个工况的对比试验,验证了在物理模型试验中使用无规共聚聚丙烯(PP-R)替代发泡砼的可行性,二者反射系数的平均差值仅为1.17%。后续对护面块体消浪性能的研究表明,反射系数随波浪周期、相对水深和破波参数的增大而增大,随波高和波陡的增大而减小。在所有测试工况中,外径7.5 cm-高度10 cm和外径10 cm-高度6.5 cm的两种块体消浪性能最优,其平均反射系数分别为0.395和0.382。最后,基于试验数据,拟合得到了适用于本研究中6种护面块体的反射系数计算公式。该公式的均方根误差为0.106 9,精度较高,可为相关工程设计提供一定参考。

本文引用格式

李晓燕 , 叶俊炜 , 沈家法 , 罗志伟 , 郑昕 , 赵海涛 . 新型海堤生态护面块体消浪性能试验[J]. 海洋学研究, 2025 , 43(3) : 49 -59 . DOI: 10.3969/j.issn.1001-909X.2025.03.006

Abstract

The new seawall ecological armour block is a type of face protection structure with both excellent wave dissipation performance and ecological function. In order to systematically evaluate its wave dissipation performance, this study carried out a two-dimensional wave flume physical modeling test using Zhoujiayuanshan Island in Zhoushan as the engineering background. The test systematically investigated the effects of wave period, wave height, relative water depth, wave steepness, breaking parameter, and block geometry (outer diameter and height), as well as model materials on the reflection coefficients under the action of regular waves. The results show that: firstly, the feasibility of using polypropylene random copolymer (PP-R) instead of foamed concrete in the physical modeling test is verified through the comparison experiments of nine working conditions, and the average difference in their reflection coefficient is only 1.17%. Secondly, for its wave dissipation performance, the reflection coefficient increases with increasing wave period, relative water depth and breaking parameter, and decreases with increasing wave height and wave steepness. Among all the tested conditions, the two types of blocks with outer diameter 7.5 cm-height 10 cm and outer diameter 10 cm-height 6.5 cm have the best wave dissipation performance, with average reflection coefficients of 0.395 and 0.382, respectively. Finally, the reflection coefficient formula for the six types of blocks is fitted based on the experimental data in this study. The formula has a root mean square error (RMSE) of 0.106 9, which is of high accuracy and our study can provide a certain reference for related engineering design.

0 引言

在海堤上布置人工护面块体可有效保护沿海地区关键基础设施,是一种典型的消浪与海洋防灾措施。人工护面块体作为海堤的重要组成部分,在抵御台风、极端海浪、风暴潮等自然灾害方面发挥着关键作用[1]
改善护面块体的生态和消浪性能是海岸工程领域的重要课题。为此,研究者们从多个角度进行了探索。HOSSEINZADEH等[2]指出可从自然海岸线中汲取灵感,通过调控多尺度表面粗糙度来改善传统海堤的生态性能。VAN GENT等[3]研究了单层护面块体对提升消浪性能的有效性。MACIÑEIRA等[4]提出了估算空心护面块体消浪性与稳定性的公式。COMOLA等[5]认为护面块体在长波作用下的破坏程度比在短波作用下要大得多,且受损程度取决于显著波高,而不是波峰周期。戈龙仔等[6]开发了十字型新型消浪护面块体,该块体满足消浪性、稳定性和施工便利性等要求,具有一定参考价值。
护面块体的反射特性是评估其消浪性能的关键参数。早期研究多聚焦于理论构建,例如, ZANUTTIGH等[7]基于大量物理模型数据研究了多种护面块体的波浪反射特性并提出反射系数经验预测公式。房伟等[8]根据波浪水槽物理模型试验,分析了坡度、波陡、相对水深、护面块体类型和破波参数对反射系数的影响,并拟合出了能较好预测块石和扭王块体反射系数的经验公式。
现有护面块体型式多样,本文选择圆柱结构作为研究对象,主要因其具备以下两点优势:首先,在结构普遍性方面,圆柱是海岸工程中最常见的结构形式之一,其设计简洁且具有广泛的代表性,相关研究成果更易于推广应用;其次,在生态潜力方面,圆柱单元在堆叠布置时天然形成的多样化孔隙,能够为水生生物提供有效的栖息和庇护空间,从而促进海洋生态系统的恢复与可持续发展。因此,系统地研究圆柱结构生态护面块体的消浪性能,对于推动生态友好型海岸防护工程的设计具有积极意义。
为传统海堤赋予生态功能是当前海岸工程领域的发展趋势之一[9]。然而,引入生态设计(如采用新型生态护面块体)会显著改变海堤的几何形态与孔隙结构,使其在波浪作用下的消浪性能(尤其是波浪反射)与传统海堤相比产生显著差异。因此,准确评估并掌握这类新型海堤生态护面块体的消浪性能,是保障其工程安全与功能实现的关键前提。基于此,本文以舟山周家园山岛的实际工程为背景,通过二维波浪水槽物理模型试验,系统研究了新型生态护面块体的消浪性能。研究综合考虑了波浪条件(周期、波高、波陡、相对水深、破波参数)与块体几何尺寸(外径、高度)等多种因素的影响。本研究成果可为新型海堤生态护面块体的优化设计提供一定参考。

1 新型海堤生态护面块体消浪性能物理模型试验

1.1 工程背景

本研究依托于浙江省舟山市周家园山岛生态修复工程的实际背景。该岛屿因早期石料开采活动而导致沿岸生态系统严重退化。为恢复其生态功能并兼顾海岸防护需求,工程方案采用了新型生态护面块体。该块体在结构设计上采用厚壁圆筒形,材料为发泡砼,筒内填充泥沙并种植红树等潮间带植物。
植物的生长需要经历一个漫长的发育过程[10-13]。在植被尚未完全成型、其生态消浪作用尚未显现的工程初期,海堤的防护性能主要依赖于护面块体自身的物理结构。因此,系统评估并量化此阶段护面块体的消浪性能,特别是波浪反射系数,对于保障新型海堤在整个生命周期内的安全性和有效性至关重要。本研究正是为了填补这一认知空白,为该类生态海堤的初期消浪性能评估及优化设计提供关键数据支持。

1.2 试验设计和布置

本试验在长27.0 m、高1.0 m、宽0.8 m的室内水槽中进行,其空间尺寸总体误差小于1 mm(图1)。水槽的造波系统为推板式,配备主动波浪吸收系统,可主动吸收二次反射波,对规则波的吸收率达到90%以上,可精确生成稳定的波形(图2)。同时,在水槽末端设有消能网,以进一步降低波浪反射影响。本次试验的物理模型自后向前依次由四部分构成:1)一面由高强度混凝土制成、表面铺设瓷砖的梯形直立挡墙;2)挡墙前的抛石棱体,由直径约0.02 m、高约0.10 m的块石构成;3)生态护面块体,采用无规共聚聚丙烯(polypropylene random copolymer,PP-R)材料制成,其种植槽内填沙;4)两根横截面边长为2 cm的空心方钢管作为横梁,用于固定块体以维持其稳定性(图3)。
图1 二维波浪水槽

Fig.1 2D wave flume

图2 造波机结构图

Fig.2 Structural diagram of wavemaker

图3 新型海堤示意图(单位:cm)

Fig.3 Schematics of the new seawall (unit: cm)

本研究的物理模型设计综合考虑了特定工程背景和现有试验设备条件。由于试验主要涉及波浪与结构物的相互作用,其主导力为重力,因此模型设计遵循重力相似准则,并确保原型与模型之间的Froude数相等。经过综合评估,最终确定几何比尺λ=1∶5。基于这一比尺,可进一步得出以下物理量的比尺关系:
波高比尺: λH=λ=1/5
波长比尺: λL=λ=1/5
周期比尺: λT=λ0.5=(1/5)0.5
试验模型的具体布置如图4所示。为模拟真实的近岸地形,在水槽底部设置了坡度为1∶50的斜坡。新型生态海堤模型整体布设于水槽的缓坡段,其迎浪面距离造波机23.80 m,该距离足以保证入射波在到达模型前能够充分发展并形成稳定波形。为精确监测波浪特性,采用如下测量方案:使用两台电容式浪高仪(G1和G2)对波高进行同步采集,它们分别布设于海堤模型前3.00 m和2.70 m处。对G1和G2采集的数据应用两点法进行入射波与反射波的分离计算,从而确定反射系数。
图4 试验布置图(单位:m)

Fig.4 Diagram of test layout (unit: m)

为系统研究护面块体的消浪性能,本研究设计了6组不同的块体模型(具体尺寸见表1)。设计主要围绕3个关键变量展开:块体外径、高度以及材料类型。所有模型均遵循统一的设计原则以保证可比性,底部均布置4个排水孔。为清晰展示模型的几何参数,图5以10-10块体(即外径10 cm,高度10 cm)为例,给出了其正视图与俯视图。图6则展示了本次试验所采用的6种护面块体实物(1#~6#),为后续结果分析提供直观参照。
表1 6种不同生态护面块体规格

Tab.1 Specifications of six different types of ecological armor blocks

序号 名称 种植槽材料 外径d1/cm 高度h1/cm
1# 10-10块体-发泡栓 发泡栓 10 10
2# 10-10块体 PP-R 10 10
3# 10-13块体 PP-R 10 13
4# 10-6.5块体 PP-R 10 6.5
5# 14-10块体 PP-R 14 10
6# 7.5-10块体 PP-R 7.5 10
图5 10-10块体尺寸图 (单位:mm)

Fig.5 Dimensional of 10-10 block (unit: mm)

图6 6种生态护面块体

Fig.6 Six types of ecological armor units

1.3 试验工况及方法

采用规则波进行试验,试验水深h分别为12 cm、14.5 cm和17 cm;波高H分别为3 cm、4 cm、5 cm、6 cm和7 cm;波浪周期T分别为0.8 s、1.0 s和1.2 s,共设置45个试验工况。
实验中使用YWH200-D型数字波高仪采集波浪数据,其采集间隔为0.02 s,精度为±0.3%,量程为0~80 cm。在波形较为稳定的有效时间区间内进行采样,每个工况重复3次,取3次试验结果的平均值作为最终结果。进行试验前,需对空水槽进行波浪率定。根据GODA[14]提出的两点法,利用MATLAB编程,分离入射波和反射波,得到较为精确的反射系数(Kr),其计算公式为
Kr=Hr/Hi
式中:Kr为反射系数,Hr为反射波高,Hi为入射波高。
本研究采用GODA两点法[14]对入射波与反射波进行分离,该方法对浪高仪的布设位置有严格要求。首先,两个浪高仪的间距ΔX需满足在0.05Lmax~0.45Lmin之间,其中LmaxLmin分别为本次试验中的最大和最小波长(L=gT2/2π)。根据试验工况,计算得出ΔX范围为0.11~0.45 m(取小数点后两位,下同),本试验选取的间距 ΔX=0.30 m落在此有效区间内。此外,浪高仪与模型的距离应当大于0.25Lmax,本研究中该值约为0.56 m,试验中两个波高仪距离模型的距离分别为2.70 m和3.00 m,均大于0.56 m,能够满足试验要求[15]

2 试验结果分析

2.1 不同材料生态护面块体的反射系数

在实际海岸工程中,生态护面块体常采用发泡砼材料,因其具有轻质、保温等优点。然而,发泡砼存在生产工艺复杂、运输中易损等缺点,若直接用于实验室规模的物理模型制作,不仅成本高、周期长,而且难以精确控制模型质量。鉴于此,本研究选用PP-R作为替代材料。PP-R材料力学性能稳定、易于加工成型,能显著降低模型制作的成本并缩短制作时间。为验证此替代方案的合理性,本节专门设计了一系列对比试验。
本对比试验旨在量化PP-R与发泡砼两种材料对护面块体消浪性能的影响。试验设计遵循单一变量原则,以10-10块体为原型,仅改变材料,试验水深与波浪要素均相同。如图7所示,第一组试验块体全部采用发泡砼;第二组试验采用4个PP-R材料块体和9个发泡砼块体,共 13个块体。试验工况共9个,具体如下:水深为0.125 m时,波高为 5 cm和6 cm,周期为 0.8 s、1.0 s和1.2 s;水深为0.175 m时,波高为 5 cm,周期为0.8 s、1.0 s和1.2 s。
图7 不同材料块体试验布置图

Fig.7 Test layout diagram of different material block placement

图8展示了9组工况下,两组试验测得的反射系数对比结果。从图中可以看出,两组模型的反射系数变化趋势高度一致。在数值上,PP-R块体的反射系数普遍略高于发泡砼块体。为定量评估两者差异,引入反射系数的平均差值(ΔKr)进行分析:
ΔKr=(Kr1-Kr2)/Kr1×100%
式中:Kr1为PP-R材料块体的反射系数,Kr2为发泡栓材料块体的反射系数。
图8 不同材料块体的反射系数对比图

Fig.8 Comparison of reflection coefficient for different material blocks

经计算,在9个试验工况下,两组试验测得的反射系数平均差值较小,ΔKr仅为 1.17%,这表明用PP-R材料代替发泡砼是合理可行的。

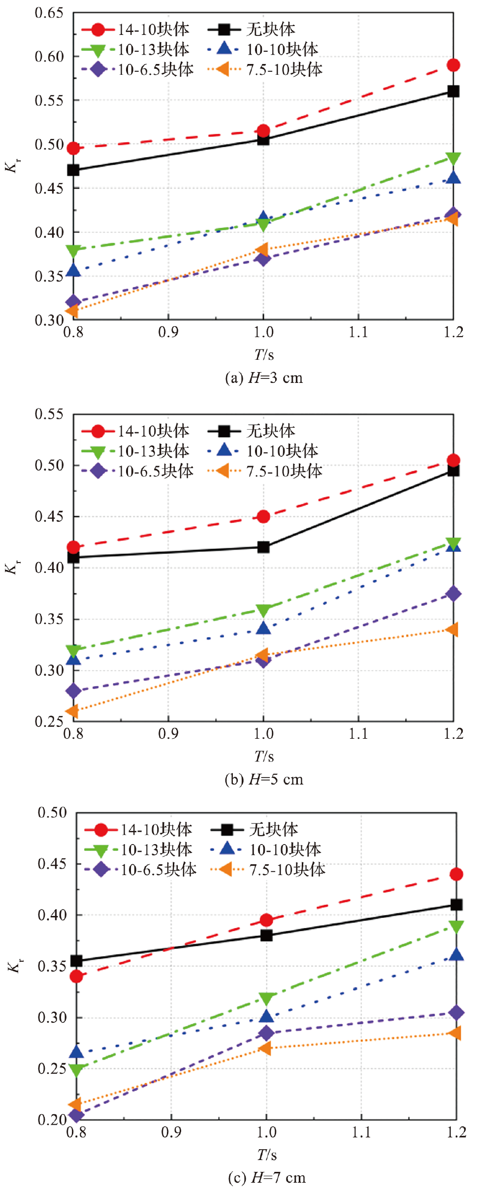
2.2 不同波浪周期下生态护面块体的反射系数

波浪反射是影响海洋状态的关键因素,对航行安全及港口运营构成潜在威胁。因此,评估生态护面块体的消浪性能至关重要,其中,反射系数是核心评价指标。现有研究普遍认为,波浪周期(T)是影响结构反射系数的关键变量[16-17]
为深入探究波浪周期对不同生态护面块体消浪性能的影响,本研究开展了物理模型试验。试验对象包括5种不同规格的PP-R材料块体及1种无块体的对照组(2#~7#块体,后文简称6种块体)。在保持堤前水深(14.5 cm)和波高(3 cm、5 cm和7 cm)等其他试验条件一致的情况下,测量并计算了6种块体在不同波浪周期下的反射系数。
试验结果表明,6种块体的反射系数均与波浪周期呈正相关关系,即随着波浪周期的增大而增大(图9)。这一发现与ZHAO[18]的研究结论完全一致。
图9 6种生态护面块体的反射系数随周期的变化

Fig.9 Variation of reflection coefficient with period for six ecological armour blocks

然而,不同类型的护面块体对波浪周期、波高、相对水深及波陡影响的敏感度存在差异。为了量化这种差异,本研究引入了参数ΔKT、ΔKH、ΔKhL及ΔKHL(计算公式见表2),分别用以评估反射系数受波浪周期、波高、相对水深及波陡影响的程度(本小节仅讨论波浪周期的影响,其他参数的影响在后续章节中给出)。对于上述4个参数而言,其值越大,块体反射系数受到对应变量的影响就越大。由表3可知,10-13块体受波浪周期影响最大,无块体情况下受波浪周期影响最小。
表2 反射系数敏感性分析计算公式

Tab.2 Formulas for reflection coefficient sensitivity analysis

指标名称 计算公式
ΔKT $ \left|\left(\sum_{i=1}^{N_T}\frac{K_{i+1}-K_i}{K_{i+1}}\right)/(N_T-1)\right|\times100\%$
ΔKH $ \left|\left(\sum_{i=1}^{N_{H}} \frac{K_{i+1}-K_{i}}{K_{i+1}}\right) /\left(N_{H}-1\right)\right| \times 100 \%$
ΔKhL $ \left|\left(\sum_{i=1}^{N_{h L}} \frac{K_{i+1}-K_{i}}{K_{i+1}}\right) /\left(N_{h L}-1\right)\right| \times 100 \%$
ΔKHL $ \left|\left(\sum_{i=1}^{N_{H L}} \frac{K_{i+1}-K_{i}}{K_{i+1}}\right) /\left(N_{H L}-1\right)\right| \times 100 \%$

注: Ki为给定参数下第i组护面块体的反射系数,Ki+1为给定参数下第i+1组护面块体的反射系数;NTNHNhLNHL分别为对应试验中测试的总组次。

表3 不同块体配置下的参数对比表

Tab.3 Comparison of parameters under different block configurations

序号 名称 ΔKT ΔKH ΔKhL ΔKHL K r ¯
2# 7.5-10块体 12.88% 6.96% 7.35% 3.77% 0.395
3# 10-6.5块体 14.51% 7.41% 6.86% 3.94% 0.382
4# 10-10块体 13.40% 5.20% 5.61% 3.44% 0.427
5# 10-13块体 14.84% 4.03% 6.28% 2.82% 0.424
6# 14-10块体 9.72% 4.39% 5.82% 2.95% 0.486
7# 无块体 8.03% 4.48% 10.82% 3.55% 0.478
波浪周期对块体反射系数产生影响的关键在于其会影响波浪的破碎类型:短周期波浪倾向于发生溃破或溅破,而长周期波浪则更可能发展为卷破或冲击式破碎。不同的破碎类型对应着不同的能量耗散机制,这是影响最终反射系数的关键因素。

2.3 不同波高下生态护面块体的反射系数

波高(H)也是影响生态护面块体反射系数的关键因素。如图10所示,6种块体的反射系数均随波高的增加呈现出一致的下降趋势,但不同块体对此变化的敏感程度各异。由表3可知,10-6.5块体的反射系数受波高影响最为显著,10-13块体受波高影响最小。对比外径相同、高度不同的3种块体(10-6.5块体、10-10块体和10-13块体)以及高度相同、外径不同的3种块体(7.5-10块体、10-10块体和14-10块体)的反射系数可知,自身高度较大的块体(10-13块体)与外径较大的块体(14-10块体)受波高影响程度较小。这可能是因为外径和高度的增大使得块体的质量和体积更大。当波浪冲击时,更大的质量和体积表现出更强的稳定性,更不易被波高影响。此外,造成护面块体反射系数随波高的增加而下降的原因可能在于能量耗散。波浪与生态护面块体的相互作用不仅包含直接的撞击和摩擦,而更主要的能量损失来源于波浪破碎。随着波高增大,波浪更容易在块体表面或其前方发生破碎。在破碎过程中,大量的波浪能转化为湍动能,进而导致反射回的能量显著减少,即反射系数降低。
图10 6种生态护面块体的反射系数随波高的变化

Fig.10 Variation of reflection coefficient with wave height for six ecological armour blocks

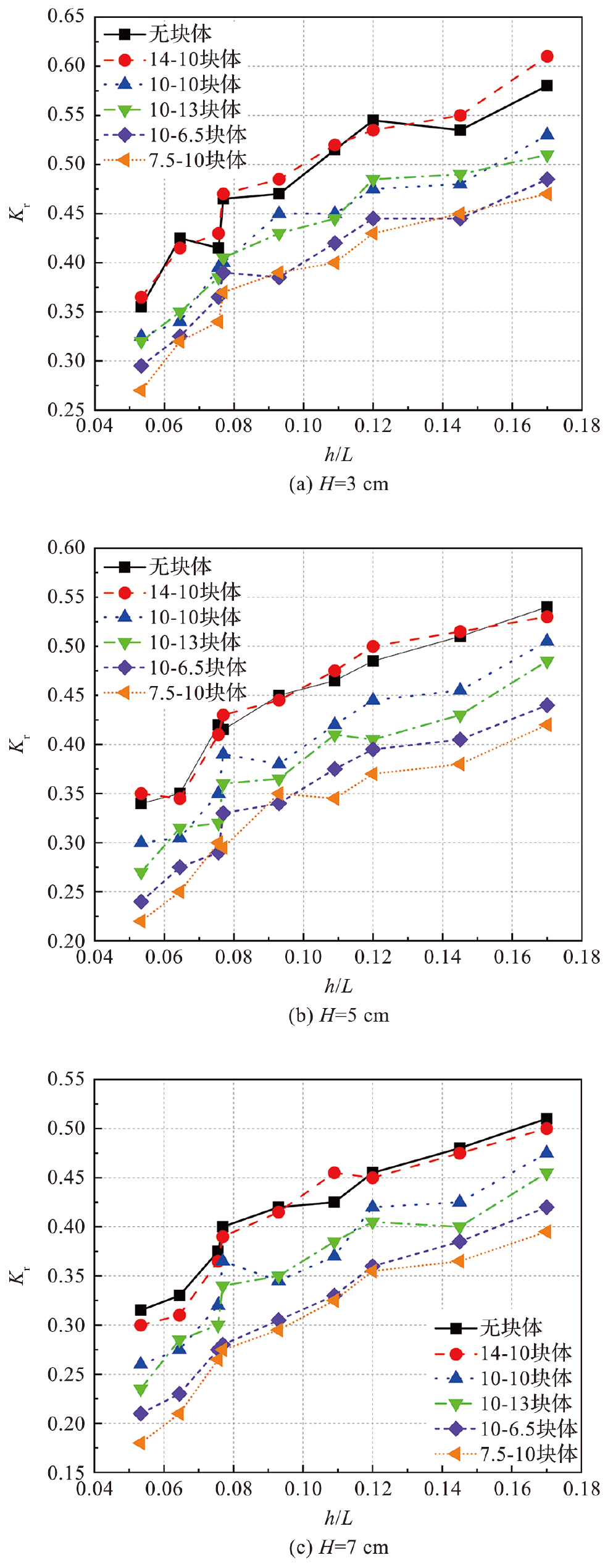
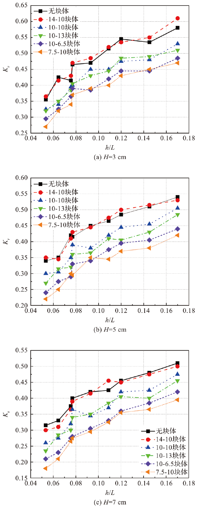
2.4 不同相对水深、波陡下生态护面块体的反射系数

相对水深(h/L)是影响生态护面块体反射系数的另一重要因素[19]。由图11可知,6种护面块体的反射系数均呈现出随相对水深增大而增大的趋势。不同块体对此影响的响应程度存在差异:其中,无块体情况下的反射系数受相对水深影响最为显著,而10-10块体受影响程度最小(表3)。
图11 6种生态护面块体的反射系数随相对水深的变化

Fig.11 Variation of reflection coefficient with relative water depth for six ecological armour blocks

相对水深直接决定了波浪受水底地形影响的程度。在相对水深较小的情况下,波浪的传播更容易受到底部地形的制约,导致波形变得不稳定,从而增加了在结构前沿发生变形和破碎的概率,能量耗散随之增强,反射系数降低。在无块体的情况下相对水深对反射系数的影响最大,可能是因为有块体时,波浪能量的耗散主要由块体主导。块体可通过抬高局部床面诱发波浪破碎以及在其周围形成强烈涡流等多种方式增强能量耗散;而无块体时,波浪的传播与反射仅受底床及海堤摩擦所影响,因此,凸显了相对水深的影响。
波陡(H/L)作为描述波浪形态的关键参数[20],对护面块体的反射系数也有显著影响。如图12所示,6种块体的反射系数均随波陡的增加而减小。不同块体对此影响的敏感度各不相同,其中10-6.5块体的反射系数受波陡影响最为显著,而10-13块体受影响程度最小。这种现象的根本原因在于波陡直接决定了波浪的稳定性。随着波陡增大,波浪趋于不稳定,当其值超过破碎阈值时,便会发生破碎,导致大量波能耗散。这种破碎过程不仅可能发生在波浪传播至结构前沿的区域,也可能发生在波浪沿块体表面爬升的过程中。此外,护面块体自身的几何特性(如尺寸等)也是调节波浪破碎过程的关键因素。这些特性决定了波浪破碎的具体位置、强度和能量耗散。例如,10-6.5块体之所以对波陡变化最为敏感,推测是其独特的几何构造促进了波浪在其结构表面或内部发生更剧烈的破碎,进而增大了能量耗散。
图12 6种生态护面块体的反射系数随波陡的变化

Fig.12 Variation of reflection coefficient with wave steepness for six ecological armour blocks

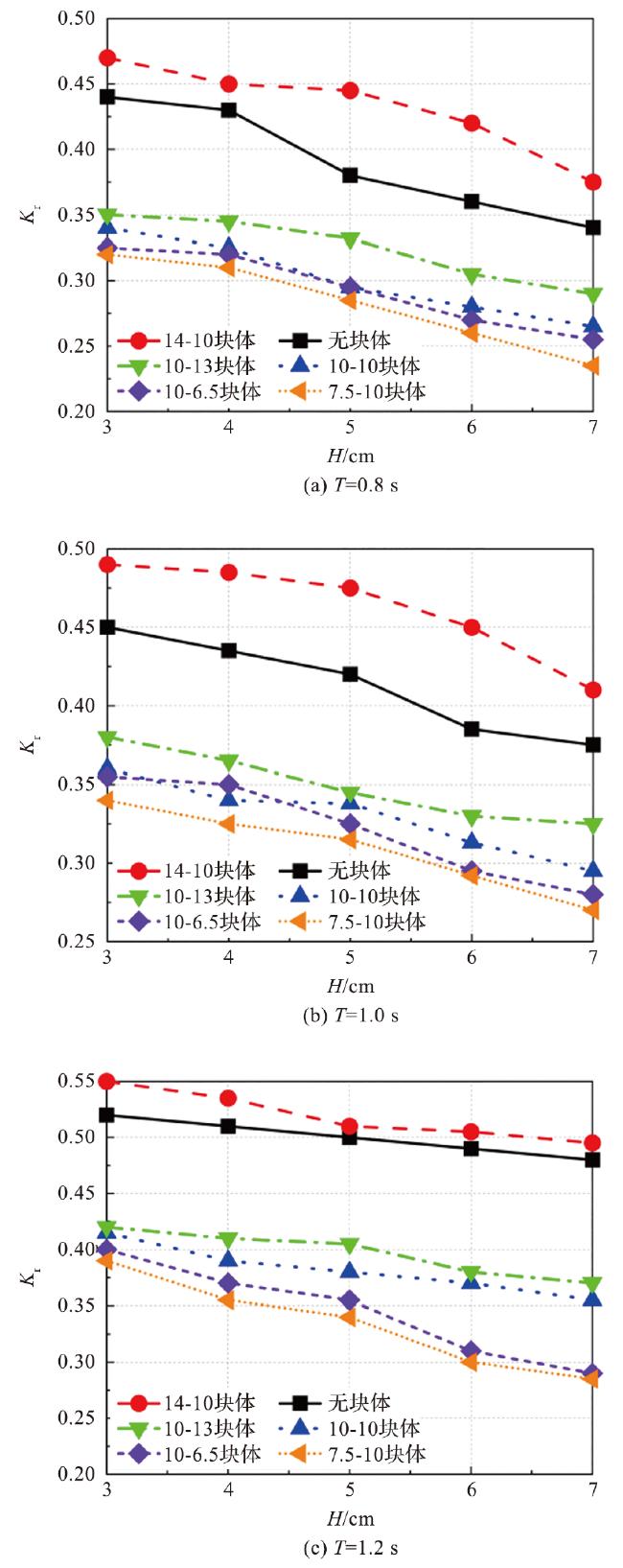
2.5 不同生态护面块体的消浪性能评估

为综合评估不同护面块体的消浪性能,本文计算了各种护面块体反射系数的平均值( K r ¯)。该值越低,表明护面块体总体的能量耗散能力越强,消浪性能越优。评估结果显示,不同块体的消浪性能存在显著差异。其中,7.5-10和10-6.5块体的消浪性能较优, 14-10块体和无块体情况下的消浪性能相对较差(表3)。造成这种差异的原因是多方面的,主要与块体的尺寸和水力特性有关。例如,尺寸较大、表面相对平缓的块体(如14-10块体),其坡面可能减缓了波浪的爬升过程并抑制了波浪破碎的剧烈程度,导致能量耗散不足。此外,块体的尺寸决定了其对波浪的阻力特性。不同的阻力不仅会产生不同的摩擦耗能,更重要的是会影响波浪的湍流强度,这些都是影响能量耗散和波浪反射的关键机制。

2.6 生态护面块体的反射系数经验公式

破波参数(ξ)是一个用于描述波浪在结构物前破碎难易程度的无量纲参数,计算公式为
ξ=tanα/(H/L)0.5
式中: tanα为结构物的坡度;H为波高;L为波长,可由下式计算:
L=gT2/(2π)
式中:g为重力加速度,取值9.8 m/s2;T为波浪周期。
结构坡度与波浪陡度的组合决定了破波类型,其量化指标——破波参数的大小,直接影响着波浪的形态变化[21]。本研究对比了6种块体的反射系数随破波参数的变化规律,以评估其消浪性能(图13)。研究发现,所有测试对象的反射系数均与破波参数呈正相关关系。以7.5-10块体和无块体两种情况为例:当破波参数从2.04增大至4.33时,7.5-10块体的Kr值由0.26上升至0.39,增幅约为50.00%;而无块体情况下的Kr值则从0.36上升至0.52,增幅约为44.44%。这一结果表明,无论是否铺设块体,破波参数都是影响反射系数的关键因素。此外,不同块体在相同破波参数下的Kr值差异,也揭示了其消浪性能的不同。其中,7.5-10块体和10-6.5块体的反射系数始终较小,表现出优越的消浪效果;相比之下,14-10块体和无块体情况下的反射系数则较大,消浪性能相对较差。
图13 6种生态护面块体反射系数随破波参数ξ的变化

Fig.13 Variation of reflection coefficients with the breaking parameter ξ for six ecological armour blocks

综合上述研究结果,本文提出了一个用于估算生态护面块体反射系数的经验公式:
Kr=0.06×ξ×(d1×h1/L)-0.14
式中:d1为块体外径,h1为块体高度,L为波长,ξ为破波参数。
为评估该公式对实验数据的拟合效果,采用均方根误差(root mean squared error,RMSE)作为评价指标,其计算公式如下:
RMSE= i = 1 n ( K r - K r ) 2 n
式中:n代表测试数,Kr实验为实验测得的反射系数,Kr公式为公式计算的反射系数。
分析结果表明,该公式的预测值与实验数据具有较好的一致性(图14),总体RMSE为0.106 9。图14中浅灰色和深灰色区域分别代表30%和10%的偏差范围。然而,我们注意到,对于14-10块体,公式(9)的预测结果系统性地低于实验测量值。这可能是由于14-10块体具有较大的外径,增强了波浪与结构间的相互作用。经验公式未能完全捕捉到这种复杂作用导致的反射系数变化,从而高估了该块体的消浪能力,导致反射系数被低估。若排除14-10块体的数据,公式(9)对其余块体类型的预测精度显著提高,RMSE降至0.057 9。这表明该公式在特定水力条件和块体参数范围内,能够有效反映生态护面块体的主要反射特性,可为生态护面块体的工程设计及实际应用提供一定的借鉴。
图14 护面块体反射系数拟合公式结果与实测值对比

Fig.14 Comparison between the fitting formula results and measured values of the reflection coefficient for armor blocks

未来的研究应致力于提高公式的精度,例如,可以考虑引入修正项,以便更准确地模拟块体与波浪相互作用导致的波浪破碎和能量耗散现象。此外,式(9)的适用范围仅限于本研究中的水力条件和护面块体参数,在使用时应注意其局限性。

3 结论

本研究通过物理模型试验对新型海堤生态护面块体的消浪性能进行了研究,考虑了波浪周期(T)、波高(H)、相对水深(h/L)、波陡(H/L)、破波参数(ξ)、块体外径(d1)和高度(h1)、块体材料等不同因素的影响,得到主要结论如下。
1)为验证PP-R材料替代发泡砼制作护面块体进行物理模型试验的可行性,本研究进行了一组对比试验。结果表明,在相同的试验条件下,PP-R模型与发泡砼模型的反射系数变化趋势高度一致,两者数值的平均差值仅为1.17%。这证实了使用PP-R材料的替代方案是合理的,它既能保证试验结果的可靠性,又能克服发泡砼在模型制作中的诸多不便。
2)波浪周期是影响生态护面块体消浪性能的关键因素。研究表明,所有护面块体的反射系数均随波浪周期的增大而增大。这种现象的机理在于,波浪周期决定了波浪的破碎类型(如溃破、卷破等),从而影响能量耗散机制和最终的反射效果。不同块体对此影响的敏感度不同,具体表现为10-13块体受波浪周期影响最大,无块体情况下受波浪周期影响最小。
3)波高也是影响护面块体反射系数的关键因素,所有块体的反射系数均随波高的增加而减小。这种现象的根本原因在于,波高的增大会使波浪在块体表面或其前方更容易发生破碎,从而将大量波浪能转化为湍动能并耗散掉,导致反射能量减少。不同几何特性的块体对此影响的敏感度不同,其中10-6.5块体受影响最显著,而10-13块体受影响最小。自身高度和外径较大的块体受波高影响的程度相对较小,这可能是因为外径和高度的增大使得块体的质量和体积更大。当波浪冲击时,更大的质量和体积表现出更强的稳定性,更不易被波高影响。
4)护面块体的反射系数还与波浪的动力特性密切相关。例如,反射系数会随着相对水深的增大而增大,随着波陡的增大而减小。这种变化趋势的根本原因在于,相对水深的减小和波陡的增大使波浪更容易在结构前沿或块体表面发生变形和破碎,从而增强能量耗散。此外,不同几何特性的护面块体对这两种因素的响应程度不同,这表明块体自身的尺寸和构造在调节波浪破碎过程和能量耗散方面起着关键作用。
5)护面块体的综合消浪性能由其平均反射系数( K r ¯)评估,该值越低代表消浪性能越优。研究表明,不同块体的消浪性能差异显著,其中7.5-10和10-6.5块体表现较优,而14-10块体及无块体方案表现较差。这种性能差异主要归因于块体自身的尺寸和水力特性,这些因素通过影响波浪爬升过程、破碎剧烈程度、摩擦耗能及湍流强度,最终决定了其整体的能量耗散能力。
6)破波参数是影响护面块体反射系数的关键因素,所有测试对象的反射系数均与其呈正相关关系。基于此,本文提出了一个估算生态护面块体反射系数的经验公式。该公式对大部分块体的预测结果与实验数据吻合良好(总体RMSE为0.106 9),但在预测大外径块体(如14-10块体)时存在系统性低估。这表明,虽然该公式在特定参数范围内为工程设计提供了初步参考,但其适用性存在局限,未来需要引入修正项以更精确地模拟块体几何特性对波浪破碎和能量耗散的复杂影响。
[1]
CHO Y H, ZHANG C, NAKAMURA T, et al. Failure mechanism of armor blocks of submerged breakwater[J]. Journal of Coastal Research, 2018, 85(sp1): 1166-1170.

[2]
HOSSEINZADEH N, GHIASIAN M, ANDIROGLU E, et al. Concrete seawalls: A review of load considerations, ecological performance, durability, and recent innovations[J]. Ecological Engineering, 2022, 178: 106573.

[3]
VAN GENT M R A, LUIS L. Application of cubes in a single layer[C]//6th International Short Course/Conference on Applied Coastal Research, 2013.

[4]
MACIÑEIRA E G, BURCHARTH H F. Stability of cube armoured roundheads exposed to long crested and short crested waves[J]. Coastal Engineering, 2016, 112: 99-112.

[5]
COMOLA F, LYKKE ANDERSEN T, MARTINELLI L, et al. Damage pattern and damage progression on breakwater roundheads under multidirectional waves[J]. Coastal Engineering, 2014, 83: 24-35.

[6]
戈龙仔, 高峰, 陈汉宝. 深水防波堤新型消浪护面块体开发及其性能参数测试研究[J]. 海岸工程, 2020, 39(3):204-212.

GE L Z, GAO F, CHEN H B. New shaped wave dissipating and armor block for deepwater breakwater and its performance parameter testing[J]. Coastal Engineering, 2020, 39(3): 204-212.

[7]
ZANUTTIGH B, VAN DER MEER J W. Wave reflection from coastal structures in design conditions[J]. Coastal Engineering, 2008, 55(10): 771-779.

[8]
房伟, 陈国平, 严士常, 等. 堆石防波堤不规则波浪反射系数试验研究[J]. 海洋工程, 2017, 35(5):125-131.

FANG W, CHEN G P, YAN S C, et al. Experimental research of wave reflection coefficient on rubble mound breakwaters under irregular waves[J]. The Ocean Engineering, 2017, 35(5): 125-131.

[9]
高抒, 贾建军, 于谦. 绿色海堤的沉积地貌与生态系统动力学原理:研究综述[J]. 热带海洋学报, 2022, 41(4):1-19.

DOI

GAO S, JIA J J, YU Q. Green sea dykes: An overview of their principles of sediment, geomorphology and ecosystem dynamics[J]. Journal of Tropical Oceanography, 2022, 41(4): 1-19.

DOI

[10]
MA Y X, ZHU L H, PENG Z, et al. Wave attenuation by flattened vegetation (Scirpus mariqueter)[J]. Frontiers in Marine Science, 2023, 10: 1106070.

[11]
BOUMA T J, DE VRIES M B, LOW E, et al. Flow hydrodynamics on a mudflat and in salt marsh vegetation: Identifying general relationships for habitat characterisations[J]. Hydrobiologia, 2005, 540(1): 259-274.

[12]
ANDERSON M E, SMITH J M. Wave attenuation by flexible, idealized salt marsh vegetation[J]. Coastal Engineering, 2014, 83: 82-92.

[13]
MAZA M, LARA J L, LOSADA I J. A paradigm shift in the quantification of wave energy attenuation due to saltmarshes based on their standing biomass[J]. Scientific Reports, 2022, 12(1): 13883.

DOI PMID

[14]
GODA Y, SUZUKI Y. Estimation of incident and reflected waves in random wave experiments[C]//15th International Conference on Coastal Engineering, 1976: 828-845.

[15]
水运工程模拟试验技术规范: JTS/T 231—2021[S]. 北京: 人民交通出版社, 2021.

Technical code of modelling test for port and waterway engineering: JTS/T 231—2021[S]. Beijing: China Communications Press, 2021.

[16]
MUTTRAY M, OUMERACI H, TEN OEVER E. Wave reflection and wave run-up at rubble mound breakwaters[C]//30th ICCE, 2006: 4314-4324.

[17]
SCHOONEES T, KERPEN N B, SCHLURMANN T. Full-scale experimental study on wave reflection and run-up at stepped revetments[J]. Coastal Engineering, 2022, 172: 104045.

[18]
ZHAO H T, YE J W, DONG S D, et al. Numerical modelling of the spatial distribution of wave overtopping water behind dikes under regular wave action using OpenFOAM[J]. Ocean Engineering, 2024, 309: 118551.

[19]
PENG C, WANG H, ZHANG H Q, et al. Parametric design and numerical investigation of hydrodynamic characteristics of a new type of armour block TB-CUBE based on SPH method[J]. Journal of Marine Science Engineering, 2022, 10: 1116.

[20]
彭程, 王昊, 娄雅冬, 等. 斜坡堤新型人工块体TB-CUBE的波浪爬高和反射试验研究[J]. 水运工程, 2022(9):1-7.

PENG C, WANG H, LOU Y D, et al. Experiment investigation on wave run-up and reflection of a new artificial block TB-CUBE for sloping breakwater[J]. Port & Waterway Engineering, 2022(9): 1-7.

[21]
VAN DER MEER J W, ALLSOP N W H, BRUCE T, et al. Manual on wave overtopping of sea defences and related structures: An overtopping manual largely based on European research, but for worldwide application[M]. [S.l.]: EurOtop, 2018.

文章导航

/