研究论文

潮汐作用下长江口锋面溶解性代谢物组成特征

  • 陈小芬 , 1 ,
  • 徐可 1 ,
  • 王茹玉 1 ,
  • 陈煌鑫 1 ,
  • 王亚松 1 ,
  • 冯志轩 2 ,
  • 赵雪琴 1 ,
  • 吴伟超 , 1, *
展开
  • 1.上海海洋大学 海洋科学与生态环境学院, 上海 201306
  • 2.华东师范大学 河口海岸全国重点实验室, 上海 200241
* 吴伟超(1987—),男,研究员,主要从事海洋生物地球化学研究,E-mail:

陈小芬(1998—),女,福建省宁德市人,主要从事海洋生物地球化学研究,E-mail:

收稿日期: 2025-07-15

  修回日期: 2025-10-17

  网络出版日期: 2026-02-09

基金资助

国家自然科学基金青年项目(42106046)

国家自然科学基金面上项目(42376047)

国家自然科学基金共享航次计划项目(42249903)

Composition of dissolved metabolites in the Changjiang River Estuary front under tidal influence

  • CHEN Xiaofen , 1 ,
  • XU Ke 1 ,
  • WANG Ruyu 1 ,
  • CHEN Huangxin 1 ,
  • WANG Yasong 1 ,
  • FENG Zhixuan 2 ,
  • ZHAO Xueqin 1 ,
  • WU Weichao , 1, *
Expand
  • 1. College of Marine Sciences and Ecology, Shanghai Ocean University, Shanghai 201306, China
  • 2. State Key Laboratory of Estuarine and Coastal Research, East China Normal University, Shanghai 200241, China

Received date: 2025-07-15

  Revised date: 2025-10-17

  Online published: 2026-02-09

摘要

为探究潮汐作用对海水溶解性代谢物组成的影响,本研究于2023年3月采集了长江口半日潮锋面附近的海水样品,通过开展高分辨率非靶向代谢组学分析,共鉴定出1 379个代谢分子(鉴定率为6.8%),涵盖14个超级分类,其中以有机杂环化合物、苯环型化合物、脂质和类脂分子为主(占比为59.1%)。研究发现,代谢物组成明显受潮汐作用调控,其空间分布在落潮时的异质性明显高于涨潮时,揭示了潮汐运动与代谢物组成变化的不同步性。统计分析进一步表明,大部分代谢物与盐度呈明显负相关,且非保守性营养盐(硝酸盐、磷酸盐和硅酸盐)对其分布特征贡献较大。这表明陆源溶解有机质输入是控制代谢物组成的重要因素,而咸淡水混合过程会改造其组成特征。此外,浊度与大部分代谢物的相关性较弱,但在悬沙锋内侧,脂质和类脂分子的百分比变化显著,表明再悬浮过程对溶解性有机质的改造作用主要发生在水动力较强的区域。对涨、落潮阶段差异性代谢物的分析发现,这些代谢物以脂质和杂环类化合物等次级代谢产物为主,其变化可能指示其受微生物群落相互作用的调节。本研究强调了短时间尺度的潮汐作用对溶解性有机质组成的影响,为理解多尺度物理过程如何调控河口有机质循环提供了新视角。

本文引用格式

陈小芬 , 徐可 , 王茹玉 , 陈煌鑫 , 王亚松 , 冯志轩 , 赵雪琴 , 吴伟超 . 潮汐作用下长江口锋面溶解性代谢物组成特征[J]. 海洋学研究, 2025 , 43(4) : 89 -102 . DOI: 10.3969/j.issn.1001-909X.2025.04.007

Abstract

To investigate how tidal dynamics influence the composition of dissolved metabolites in seawater, we collected seawater samples across a semidiurnal tidal cycle, spanning both the salinity and turbidity fronts of the Changjiang River Estuary in March 2023. Using high-resolution mass spectrometry-based untargeted metabolomics, a total of 1 379 metabolite molecules were annotated (annotation rate of 6.8%), covering 14 super classes. Among these, organoheterocyclic compounds, benzenoids, lipids and lipid-like molecules were dominant (accounting for 59.1%). The results indicated that the composition of metabolites was significantly influenced by tidal forces, with greater heterogeneity during ebb tide than flood tide, revealing a temporal asynchrony between tidal movement and metabolite compositional variation. Statistical analyses further demonstrated that metabolite compositions were significantly negatively correlated with salinity, and that non-conservative nutrients (nitrate, phosphate, and silicate) exerted strong influences on metabolite variations. These results suggested that terrestrial dissolved organic matter inputs were a primary driver, with their influence further modified by brackish water mixing. In addition, the correlation between turbidity and most metabolites was relatively week. However, substantial percentage changes in lipids and lipid-like substances were observed within the suspended sediment front, indicating that the transformation of dissolved organic matter driven by resuspension processes primarily occurs under strong hydrodynamic conditions. Analysis of differential metabolite during flood and ebb phases further showed that these substances were dominated by secondary metabolites, such as lipids and heterocyclic compounds. These substances might reflect regulation by microbial community interactions. Overall, this study highlights the short-term tidal influence on dissolved organic matter composition and provides new insights into how multi-scale physical processes regulate organic matter cycling in estuarine environments.

0 引言

长江口作为欧亚大陆第一大河的河口,其巨大的淡水和泥沙输入显著影响河口邻近海域的环流、营养结构和生态系统[1]。长江口锋面是典型的陆海相互作用界面,其独特的水文动力过程与生物地球化学循环对区域碳收支和生态系统功能具有深远影响[2]。河口锋面受径流、潮汐、风场、环流、盐度、营养盐及有机质等多种物理和化学过程的共同调控[3],进而表现出涡旋、垂向分层和湍流混合等复杂水动力特征[4],影响物质输运与转化。
溶解有机质(dissolved organic matter,DOM)是指能够通过一定孔径滤膜,以溶解状态存在于水中的复杂有机混合物,其来源既包括河流输入的陆源有机质,也包括海洋微生物代谢产生的内源组分。DOM是河口物质循环的重要组成部分,河口锋面在调控DOM的来源与组成方面尤为重要,盐度梯度和湍流混合过程可改变DOM的保留与去除过程[5]。在河口及邻近海域中,受潮汐动力、地形特征、淡水输入及物理-生物过程耦合作用影响,潮汐在涨潮与落潮相位间(表现为持续时间、流速、营养盐及溶解有机碳等物质含量的非匹配差异)所呈现的非对称特征,称为潮汐不对称性[6]。这种不对称性和泥沙再悬浮可促进有机质输入并刺激微生物活性,增加DOM的含量和分子多样性[7]。此外,盐度与浊度的急剧变化会引发DOM的絮凝、选择性保留与生物降解,进一步塑造其分子组成特征[8-10]。因此,锋面结构下盐度和浊度的变化,可能通过调控环境条件而影响DOM库中的小分子代谢物组成特征。
目前,对于DOM分子组成特征的研究主要依赖光谱学和超高分辨率质谱。光谱学可用于识别腐殖质类与蛋白类DOM,以推断其来源与转化方式;而质谱则可解析具体分子结构,如木质素、丹宁等[11],并揭示了小分子(<500 Da)在DOM库中占据重要地位。近年来,源自微生物或由其转化产生的小分子代谢物被认为是DOM库中极其重要且高度活跃的组成部分。这些代谢物为解析DOM的精细分子结构提供了途径,尤其有助于含氮化合物官能团(如胺类、生物碱或杂环化合物等)结构的确定[12],甚至可实现对单个化合物的定性分析[13]。目前对于小分子代谢物的定性分析主要依赖于非靶向代谢组学分析方法,通过电喷雾离子化、二级质谱以及公共谱库的搜索来实现定性识别,该方法已广泛应用在医学、药学和分子生态学领域[14]。然而,环境代谢组学在海洋环境科学中的研究还相对较少[15],随着公共数据库的不断积累及全球小分子代谢物质谱数据的共享,该技术已逐渐在该领域受到关注[15]
为了更好地厘清锋面结构下小分子代谢物的空间分布,本研究沿长江口典型的锋面结构,在一个半日潮周期内,分表层、中层和底层3个深度进行了高分辨率采样。通过非靶向代谢组学分析方法,结合环境参数,研究锋面结构下海水DOM中代谢物的组成变化,旨在阐明潮汐作用下溶解性小分子代谢物的组成和分布特征及其主要控制因素。

1 材料与方法

1.1 样品采集

依托2023年国家自然科学基金委共享航次计划长江口锋面航次(2023年3月28日),在长江口及其邻近海域F2断面的9个站点(西起悬沙锋内侧、东至盐度锋外缘),共采集了46个海水样本(图1a)。根据当日潮汐变化,分别于涨、落潮时段(8:00—19:00,图1f)在每个采样点进行表、中、底三层海水样品采集,其中站点F2-2、F2-4、F2-6和F2-8由于采样条件限制无中层海水样品。在每个采样点,使用SBE19 Plus温盐深仪(CTD,Sea-Bird)采集5 L海水,装于洁净的聚乙烯瓶中。获得的水样用直径150 mm、孔径0.7 μm的Whatman GF/F玻璃纤维滤膜(预先在马弗炉内于450 ℃灼烧4~5 h)过滤,过滤过程通过蠕动泵进行。收集5 L过滤后的水样于洁净的聚丙烯瓶中,留取其中50 mL滤液用于溶解有机碳(dissolved organic carbon,DOC)质量浓度的测定,剩下的滤液经固相萃取(solid-phase extraction,SPE)处理,富集海水中的溶解态有机质[16]。同时将5 L超纯水,经相同的过滤方法和SPE处理,得到空白样本。现场采集一定体积的水样后,用孔径0.45 μm 的聚醚砜滤膜(预先用1∶1 000 HCl浸泡24 h,并以Milli-Q水洗涤至中性,烘干称重)过滤,滤液于-20 ℃冷冻保存,用于测定水体中的溶解态营养盐。
图1 长江口及其邻近海域采样站位分布与悬沙锋和盐度锋结构

(站点F2-6和站点F2-11分别为悬沙锋和盐度锋。根据浊度和盐度特征,将研究区域分为Z1、Z2和Z3三个区。图1f中的阴影表示采样时间段。)

Fig.1 Distribution of sampling stations and the structures of the turbidity front and salinity front in the Changjiang River Estuary and its adjacent waters

(Sample sites F2-6 and F2-11 indicate the locations of turbidity front and salinity front, respectively. Based on turbidity and salinity characteristics,the study area was divided into Z1, Z2 and Z3 zones. The shaded areas in Figure 1f represent the sampling periods.)

1.2 样品测定

1.2.1 DOC质量浓度的测定

样品测定前,先经浓盐酸(分析级)酸化至pH<2,以去除无机碳。DOC质量浓度的测定采用高温催化氧化法,测试仪器为日本岛津总有机碳分析仪(TOC-L型)。测定过程中每次样品进样量为80 μL,每个样品重复测定3次,以确保测量结果的相对标准偏差(relative standard deviation,RSD)小于2%。为了确保仪器的可靠性,本研究利用美国迈阿密大学Hansell生物地球化学实验室提供的深海水作为DOC标准物质进行校正,其DOC的平均质量浓度为0.553±0.010 mg/L。仪器的基线和空白用Milli-Q超纯水(18.2 MΩ.cm)进行监控,每分析3个样品即进行1次空白测定。

1.2.2 环境参数的测定

本研究中的环境参数包括温度、盐度、深度、浊度、pH、叶绿素a、硝酸盐(N${O}_{3}^{-}$)、亚硝酸盐(N${O}_{2}^{-}$)、硅酸盐(Si${O}_{3}^{2-}$)、磷酸盐(P${O}_{4}^{3-}$)和铵盐(N${H}_{4}^{+}$)。其中水样的温度、盐度、深度、浊度和叶绿素a参数由SBE-19/911 Plus CTD进行原位测量。对N${O}_{3}^{-}$、N${O}_{2}^{-}$、N${H}_{4}^{+}$、P${O}_{4}^{3-}$和Si${O}_{3}^{2-}$5种营养盐分别采用镉铜还原重氮偶氮法、重氮偶氮法、靛酚蓝法、磷钼蓝分光光度法和硅钼蓝法进行测定,检测仪器为营养盐自动分析仪(SEAL QuAAtro, 德国),检出限分别为0.040、0.003、0.015、0.024和0.030 μmol/L。精密度用RSD表示,各营养盐的RSD小于5%~10%,标准曲线的相关系数大于0.999。测试过程中采用标准物质(GBW08631、GBW08641、GBW08637、GBW08623和GBW08645,来源于自然资源部第二海洋研究所)进行校准[17]

1.3 代谢物样品提取

对固相萃取富集有机质后的样品进行溶解有机物提取。用1 mL甲醇复溶,经孔径0.22 μm的尼龙材质滤膜过滤后[18],涡旋30 s,取100 μL样品旋干,添加100 μL提取液(V甲醇V乙腈V=2∶2∶1),提取液含0.6 μmol/L马尿酸-d5(CAS:53518-98-2)、8 μmol/L L-亮氨酸-5,5,5-d3(CAS:87828-86-2)、3 μmol/L 琥珀酸-2,2,3,3-d4(CAS:14493-42-6)、1 μmol/L氧化三甲胺-d9 N-氧化物(CAS:1161070-49-0)、2 μmol/L 4-氨基丁酸-2,2,3,3,4,4-d6(CAS:70607-85-1)同位素标记内标;涡旋混匀30 s,超声10 min(冰水浴);将样品在4 ℃、12 000 r/min(离心力13 800×g)条件下离心15 min,取上清液于进样瓶中,待上机检测。此外,从所有样品中另取等量上清液体,混合成质控样品(quality control,QC),用于液相质谱仪分析。

1.4 液相质谱仪分析方法

针对极性代谢物使用Vanquish(Thermo Fisher Scientific)超高效液相色谱仪,通过Waters ACQUITY UPLC BEH Amide(2.1 mm×50 mm, 1.7 μm)液相色谱柱对目标化合物进行色谱分离[19]。流动相A为含25 mmol/L乙酸铵和25 mmol/L氨水的水溶液,流动相B为乙腈。样品盘温度设定为4 ℃,进样体积为2 μL。采用Orbitrap Exploris 120质谱仪,在Xcalibur软件(版本:4.4,Thermo)控制下采集一级和二级质谱数据。主要质谱参数如下:鞘气流速为50 arb,辅助气流速为15 arb,毛细管温度为320 ℃;分辨率设置:一级质谱扫描分辨率为60 000,二级质谱扫描分辨率为15 000;碰撞能量采用阶梯式SNCE(20/30/40);喷雾电压在正离子模式下为+3.8 kV,在负离子模式下为-3.4 kV。

1.5 代谢组学数据分析

1.5.1 原始数据预处理

原始数据经ProteoWizard(https://proteowizard.sourceforge.io)软件转换为mzXML格式后,采用基于XCMS算法的自建R包[20]对包括46个真实样品和6个质控样品在内的52个样品进行峰检测、峰提取、峰对齐和保留时间校正。二级质谱主要用于代谢物的鉴定,所使用的化合物数据库为BiotreeDB V3.0(上海百趣生物科技公司)。其鉴定方法是通过点积算法比较实验质谱图与数据库质谱图的相似度[21],设定相似度>0.6作为鉴定标准。为降低检测系统误差对结果的影响,本研究对经过保留时间校正和峰对齐后的分子特征峰进行了一系列数据清洗,主要包括以下步骤:1)基于质控样品的峰面积变异度过滤特征峰:将质控样本中峰面积(或含量)的RSD大于30%的特征峰剔除;2)缺失值过滤:剔除在全部样品中峰面积(或含量)的缺失比例超50%的特征峰;3)对原始数据中的缺失值进行填补:对于在部分样品中检出的特征峰,将其在未检出样品中的峰面积零值,用该特征峰在所有样品中最小检测峰面积的1/2进行替换;4)半定量数据处理:使用4-氨基丁酸-2,2,3,3,4,4-d6([M+H]+,110.107 9)和琥珀酸-2,2,3,3-d4([M-H]-,121.044 1)作为内标,分别对正离子、负离子模式下采集的数据进行代谢物的半定量计算,具体方法为:(代谢物特征峰的峰面积/相应内标特征峰的峰面积)×内标浓度[22]

1.5.2 统计分析

研究区域采样点的空间分布使用Ocean Data View软件(版本5.7.1)进行可视化。代谢产物的组成和分布使用MetaboAnalyst 6.0 (www.metaboanalyst.ca)进行可视化,其他统计分析使用SPSS、R和Python等软件。在统计分析前,对所有样品采用概率商归一化(probabilistic quotient normalization,PQN)方法进行数据预处理,即以质控样品作为参考进行校正;然后对数据进行范围归一化,即(含量-平均值)/变化范围。采用的多元变量统计方法包括主成分分析(principal component analysis,PCA)和正交偏最小二乘判别分析(orthogonal partial least squares discriminant analysis,OPLS-DA),其中对OPLS-DA模型进行200次置换检验,评估模型过拟合风险以及验证模型的统计显著性。当模型对因变量Y的解释度${R}_{Y}^{2}$>0.4且Q2(衡量模型预测能力的指标)的截距小于0时,判定模型为稳定可靠。
对涨、落潮海水样品中鉴定得到的小分子代谢物进行差异性分析,具体方法为:以涨潮时的相对丰度比上落潮时的相对丰度作为相对丰度的倍数变化值(fold change,FC),采用单变量统计分析(t检验)计算统计学显著性(p值),并以OPLS-DA的变量重要性投影值(variation importance for the projection,VIP)作为辅助筛选标准。FC值大于2或小于0.5,p值小于0.05,且VIP值大于1的代谢物被判定为差异代谢物(其中FC大于2时定义为“上调”,FC小于0.5时定义为“下调”)。
基于环境参数与小分子代谢物数据进行冗余分析(redundancy analysis,RDA),探讨二者之间的关系。在RDA分析前,使用Python的StandardScaler模块对环境参数数据进行Z-score标准化(即均值为0、标准差为1),具体方法为X'=(x-μ)/σ,其中:x为样品测量值,μ为平均值,σ为总体标准差。选取了14个代谢物超类与环境参数进行相关性分析,采用Pearson相关系数法进行统计分析。

2 结果

2.1 盐度和浊度的空间分布特征

F2断面的盐度和浊度的空间分布(图1表1)显示,涨、落潮时段海水的盐度和浊度存在显著差异(配对样本t检验,p=0.02)。根据现场物理海洋观测结果判断,悬沙锋位于站位F2-6(122.42°E,30.90°N)附近,盐度锋位于站位 F2-11(122.53°E,30.90°N)附近。两个锋面将F2断面划分为三个区域(图1a):悬沙锋以内的Z1区(站位F2-2至F2-6),悬沙锋和盐度锋之间的Z2区(站位F2-8至F2-11)以及盐度锋以外的Z3区(站位F2-14至F2-20)[23]
表1 2023年长江口锋面海域浊度、盐度、温度的变化范围

Tab.1 Variation ranges of turbidity, salinity, and temperature in the frontal sea area of the Changjiang River Estuary in 2023

参数 涨潮 落潮
表层 中层 底层 表层 中层 底层
浊度/NTU 9.5~518.1 24.3~247.0 43.9~588.6 11.1~178.6 38.5~117.7 75.3~648.9
盐度 25.5~30.1 28.4~30.9 25.8~31.5 24.1~31.0 28.6~31.7 26.1~31.7
温度/℃ 11.1~12.1 11.0~11.6 11.0~11.4 11.4~12.1 11.1~11.6 11.1~11.5
Z1区表层海水呈现低盐、高浊度的特征,其盐度普遍低于30.0(范围:24.1~28.6,均值:26.6),浊度大多高于100 NTU;Z2区作为悬沙锋和盐度锋之间的过渡区,盐度(范围:27.6~31.0,均值:28.7)高于Z1区,而浊度(范围:11.9~275.8 NTU,均值:120.5 NTU)低于Z1区(范围:23.9~648.9 NTU,均值:353.2 NTU);Z3区海水表现出高盐度(范围:28.0~31.7,均值:30.7)、低浊度(范围:9.5~268.2 NTU,均值:61.6 NTU)的特点。
无论是涨潮还是落潮时段,从河口到外海,盐度均呈现逐渐升高的趋势。涨潮时,盐度范围为25.5~31.5(均值为28.6±1.8,图1b),在盐度锋(站位F2-11)及其外缘形成明显的盐度梯度,垂向上出现盐跃层,盐度锋处,表层盐度为27.8,底层盐度为29.8;落潮时,盐度范围为24.1~31.7(均值为29.2±2.1,图1c),且Z3区底层盐度(均值为31.6±0.08)高于涨潮时的底层盐度(均值为31.4±0.07)。
在涨、落潮时段,浊度从河口到外海均呈现逐渐降低的趋势。其中,涨潮时的浊度变化范围为9.5~588.6 NTU(图1d),平均值为180.0±170.6 NTU。在落潮时段,浊度变化范围为11.1~648.9 NTU(图1e),平均值为136.3±170.3 NTU,且在悬沙锋及其向岸一侧形成明显的浊度梯度。落潮期间,Z1区站位F2-2的浊度在垂向上变化显著,表层浊度为34.0 NTU,底层浊度为648.9 NTU;Z3区站位F2-17的底层浊度(268.2 NTU)也明显高于表层浊度(31.3 NTU)。

2.2 营养盐的空间分布特征

以悬沙锋和盐度锋划分的F2断面三个分区,在N${O}_{3}^{-}$、Si${O}_{3}^{2-}$和P${O}_{4}^{3-}$浓度上也表现出显著差异(配对样本t检验,p<0.001)(图2)。近岸Z1区涨潮时海水的N${O}_{3}^{-}$、Si${O}_{3}^{2-}$和P${O}_{4}^{3-}$平均浓度分别为29.13±1.54 μmol/L、29.14±2.17 μmol/L和0.61±0.04 μmol/L,明显高于Z2区(N${O}_{3}^{-}$:24.11±2.90 μmol/L;Si${O}_{3}^{2-}$:24.09±2.34 μmol/L;P${O}_{4}^{3-}$:0.58±0.29 μmol/L)和Z3区(N${O}_{3}^{-}$:15.80±2.70 μmol/L;Si${O}_{3}^{2-}$:17.71±1.75 μmol/L;P${O}_{4}^{3-}$:0.53±0.03 μmol/L);Z1区落潮时海水的N${O}_{3}^{-}$、Si${O}_{3}^{2-}$和P${O}_{4}^{3-}$平均浓度分别为28.12±4.59 μmol/L、28.29±3.57 μmol/L和0.59±0.04 μmol/L,也明显高于Z2区(N${O}_{3}^{-}$:20.54±3.54 μmol/L;Si${O}_{3}^{2-}$:21.83±2.93 μmol/L;P${O}_{4}^{3-}$:0.56±0.05 μmol/L)和Z3区(N${O}_{3}^{-}$:12.38±1.35 μmol/L;Si${O}_{3}^{2-}$:16.59±0.73 μmol/L;P${O}_{4}^{3-}$:0.47±0.02 μmol/L)。涨、落潮两个时段,相同站位海水的N${O}_{3}^{-}$、Si${O}_{3}^{2-}$和P${O}_{4}^{3-}$浓度接近,同时表、中、底三层水样的N${O}_{3}^{-}$、Si${O}_{3}^{2-}$和P${O}_{4}^{3-}$浓度也较为一致,未表现出显著差异。总体上来看,N${O}_{3}^{-}$、Si${O}_{3}^{2-}$和P${O}_{4}^{3-}$浓度呈现出由近岸向外海逐渐降低的趋势。
图2 长江口锋面F2断面涨潮和落潮期间营养盐浓度和溶解有机碳含量的分布特征

Fig.2 The distribution characteristics of nutrient concentrations and dissolved organic carbon content in the front section F2 of the Changjiang River Estuary during flood and ebb tides

N${H}_{4}^{+}$和N${O}_{2}^{-}$浓度的分布表现出更复杂的时空差异。总体来看,在盐度锋外侧(Z3区),N${H}_{4}^{+}$和N${O}_{2}^{-}$的浓度在表、中、底三层水样中较为接近。而在盐度锋内侧(Z1区和Z2区),N${H}_{4}^{+}$和N${O}_{2}^{-}$的浓度在三层水样中则呈现出较大差异。涨潮时,N${H}_{4}^{+}$在Z1和Z2区浓度变化范围较大(0.15 ~ 0.63 μmol/L),而在Z3区,其浓度呈现出由近岸向外海增加的趋势(图2g)。在涨潮时段,Z3区N${O}_{2}^{-}$的浓度在表、中、底三层水样中接近,呈现出从近岸到外海逐渐降低的趋势,平均值为0.21±0.09 μmol/L(图2i);而在Z1和Z2区,其浓度变化范围较大(0.03~0.84 μmol/L)。在落潮时段,底层水N${O}_{2}^{-}$的浓度在Z1区的变化范围较大(0.09~1.48 μmol/L),而在Z2和Z3区较为接近,未表现出显著差异(图2j)。

2.3 DOC的空间分布特征

长江口锋面DOC的质量浓度在涨潮和落潮阶段表现出显著差异(配对样本t检验,p<0.001)(图2k2l)。涨潮时,F2断面海水DOC质量浓度范围为0.72~1.97 mg/L,平均值为1.16±0.34 mg/L。落潮时,海水DOC质量浓度明显较低,范围为0.76~1.21 mg/L,平均值为0.95±0.11 mg/L。涨潮时,站位F2-10(Z2区)的底部海水样本中DOC质量浓度(1.97 mg/L)相比于落潮时(1.21 mg/L)明显增加。

2.4 海水小分子代谢物的组成

经过特征峰提取后,从52个海水样品(包括质控样品)中共获得33 612个分子特征峰。经过数据清洗,保留20 394个特征峰,其中已鉴定的特征峰有1 379个,鉴定率为6.8%。这些鉴定出的小分子代谢物涵盖了14个超类、130个主类和326个亚类(图3)。在超类水平,有机杂环化合物的占比最高(25.3%),其次为苯环型化合物(17.0%)以及脂质和类脂分子(16.8%)。在主类层面,主要包括苯及其取代衍生物、黄酮类、脂肪酰类以及内酯类等,共计130个主类。
图3 已鉴定溶解性代谢物的三级分类结构(a)及其在超类水平上的组成(b)

Fig.3 Classification structures of identified dissolved metabolites on three levels (a) and their composition on the super class level (b)

聚类分析表明代谢物的组成呈现明显的空间差异性(图4)。从化合物组成分布来看,可以将代谢物至少分成三组:第一组为脂质和类脂分子、有机含氮化合物以及核苷、核苷酸及其类似物;第二组为苯丙素类和聚酮类、有机杂环化合物、有机酸及其衍生物、有机卤素化合物、有机硫化合物、苯环型化合物以及烃类衍生物;第三组为生物碱及其衍生物,有机含氧化合物,木脂素、新木脂素及相关产物以及其他化合物。
图4 溶解性代谢物在超类水平上的聚类分析

(s:表层;m:中层;b:底层;f:涨潮;e:落潮)

Fig.4 Cluster analysis of dissolved metabolites on super class level

(s: surface; m: middle; b: bottom; f: flood; e: ebb)

从采样时间来看,代谢物组成可明显分为涨潮与落潮两大聚类。然而,近岸站位F2-2的代谢物组成与其他站位差异显著(图4),其有机含氮化合物在涨潮时相对丰度较高,而生物碱及其衍生物在落潮时表达更为突出。落潮期间,近岸站位F2-4的表层海水代谢物组成也与其他站位存在显著差异。聚类分析显示,涨潮样本的颜色分布相对均一,表明涨潮时代谢物组成的空间异质性较低。
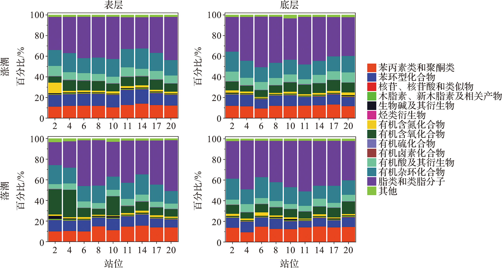
为了进一步探究不同站位代谢物的分布特征,本研究比较了涨潮和落潮条件下代谢物在超类水平上的组成(图5)。脂质和类脂分子及有机含氧化合物的百分比组成表现出明显的空间差异,且受潮汐作用影响显著。t检验结果显示,涨潮时表层和底层水体中脂质和类脂分子的百分比有显著差异(p<0.05)。具体而言,涨潮期间,表层水中脂质和类脂分子百分比为30.3%~41.8%(平均值为36.1%),而底层水中脂质和类脂分子的百分比为33.6%~49.0%(平均值为41.6%)(图5)。对于有机含氧化合物,站位F2-2、F2-4、F2-10受潮汐运动影响较大,涨潮时三个站位表层水中有机含氧化合物的百分比为6.0%~10.2%,而落潮时百分比上升至18.5%~26.4%。
图5 不同站位表层和底层海水溶解性代谢物的组成变化特征

Fig.5 Characteristics of compositional changes in dissolved metabolites in surface and bottom seawater across different sampling stations

2.5 环境参数对代谢物在超类水平上的分布影响

为探讨环境参数与代谢物组成之间的关系,进行了PCA和RDA分析(图6),RDA分析所包含的环境参数有5种营养盐(N${O}_{3}^{-}$、Si${O}_{3}^{2-}$、P${O}_{4}^{3-}$、N${O}_{2}^{-}$和N${H}_{4}^{+}$)、DOC、pH、水深、温度、盐度、浊度和叶绿素a。PCA结果显示,前两个主成分的累计解释率为43.3%。尽管各站位代谢物组成未呈现明显的空间聚类特征,但在按涨、落潮分组比较时,发现落潮期间样品的离散程度显著高于涨潮期。
图6 海水溶解性代谢物组成分布的统计特征

[图6b中的环境因子以箭头表示;海水被分为两组:涨潮(蓝点)和落潮(红点)。s:表层;m:中层;b:底层;f:涨潮;e:落潮。]

Fig.6 Statistical characteristics of dissolved metabolite compositions in seawater

[Environmental factors are represented by arrows, and seawater samples are divided into two groups: flood tide (blue dots) and ebb tide (red dots). s: surface; m: middle; b: bottom; f: flood; e: ebb.]

RDA分析显示,前两轴累计解释代谢物组成变异的67.5%,其中RDA1轴的解释率为49.2%,RDA2轴的解释率为18.3%。N${O}_{3}^{-}$、Si${O}_{3}^{2-}$和P${O}_{4}^{3-}$三者关系密切,且与RDA1轴呈正相关;盐度、水深与pH等参数则与RDA1轴呈负相关。此外,N${O}_{3}^{-}$、Si${O}_{3}^{2-}$、P${O}_{4}^{3-}$、浊度、叶绿素a和DOC与RDA2轴呈正相关,而盐度、水深与pH等参数与RDA2轴呈负相关。N${O}_{2}^{-}$和N${H}_{4}^{+}$与RDA2轴的夹角接近直角,说明二者与此轴的相关性较弱。从潮汐影响看,涨潮时的海水代谢物组成主要受RDA2轴影响,而落潮时的海水代谢物组成主要受RDA1轴影响。值得注意的是,近岸区涨潮时的采样点(例如Z1区的站位F2-2、F2-4和F2-6)与浊度、叶绿素a和DOC的相关性较高;而落潮时离岸区的采样点(例如Z3区的站位F2-14、F2-17和F2-20)与盐度、水深以及pH等反映海水特征的环境参数显著相关。

2.6 潮汐运动引起的代谢物差异化

以涨潮和落潮为两个主要环境因素,对1 379个已注释的代谢物进行差异性分析,结果显示:其中90个代谢物在涨潮时的相对丰度显著高于落潮时(p<0.05),而16个代谢物在落潮时的相对丰度高于涨潮时(图7a)。其中,相对丰度变化最为显著的前15种代谢物如图7b所示,分别为:甲基丁二酸、4-吡啶乙醇、2-羟基辛酸、3-羟基吡啶、调呋酸、杜鹃素、10-氨基奎酸、巴西苏木素、异查马内汀、2-哌啶酮、6-甲基-1,2-3-氧杂噻嗪-4-(3H)-酮-2,2-二氧化物、乙酰丙酸、3-氯硫代苯甲酰胺、丙酸氯倍他索、3-(2-噻吩基)-1H-吡唑-4-甲醛。这15种代谢物在超类水平上分别归属于脂质和类脂分子(4种)、有机杂环化合物(4种)、有机酸及其衍生物(2种)、苯丙素类和聚酮类(2种)、苯环型化合物(1种)及有机含氧化合物(2种)。值得注意的是,其中仅杜鹃素(C17H16O5)和巴西苏木素(C16H14O5)在落潮时表现出富集,其余代谢物均表现为在涨潮时富集。
图7 潮汐控制下的差异代谢物分析

(a:涨、落潮时代谢物的变异倍数及其显著性p值;b:关键差异代谢物的投影变量重要性值(VIP)排序,红色方块表示含量相对高,蓝色方块表示含量相对低;c:VIP排名前15的代谢物分子结构。)

Fig.7 Differential metabolites analysis under tidal influence

(a: Fold change and significance p-values of metabolites during ebb and flood tides; b: Variable importance of the projection (VIP) scores of key differential metabolites,with red and blue squares referring the relatively high and low contents, respectively; c: Molecular structures of the top 15 metabolites ranked by VIP.)

3 讨论

3.1 溶解性代谢物组成的空间异质性

在本研究区域内,悬沙锋内侧(Z1区)、过渡带(Z2区)及盐度锋向海一侧(Z3区)三个微区的盐度与浊度在潮汐周期中均表现出显著变化,这一现象直接反映出研究区域内存在强烈的咸淡水混合作用。一般认为,涨潮带来高盐海水,落潮则导致盐度下降。然而,在盐度锋外侧(图1b1c),底层高盐水体在落潮时侵入河口区(Z3区落潮底层盐度高于涨潮时),表明海水并非总在高潮时迅速推进或充分混合。这种潮汐动力与混合的不同步现象在前人研究中也有报道,反映出海水的流速和方向对海水混合的影响[24]。尽管潮汐可以显著调控水团结构,但N${O}_{3}^{-}$、Si${O}_{3}^{2-}$和P${O}_{4}^{3-}$的浓度明显不受潮汐影响,呈现出非保守混合以及近岸高远岸低的特征。这一现象说明河流输入是这三种营养盐的主要来源,且不受咸淡水混合的影响[24]。相比之下,N${O}_{2}^{-}$与N${H}_{4}^{+}$浓度明显受潮汐运动的影响,特别是在近岸的Z1区,其浓度变化幅度在涨潮时要明显高于落潮时(图2)。涨潮期在Z1区观察到浊度有明显升高(图1表1),并且浊度与N${O}_{2}^{-}$和N${H}_{4}^{+}$的浓度呈正相关性关系(图8)。因此N${O}_{2}^{-}$与N${H}_{4}^{+}$的变化可能与沉积物再悬浮或者释放营养盐有关[24]。相关研究表明,长江口最大浑浊带中,反硝化过程与浊度呈正相关关系[25],因此微生物作用也可能影响N${O}_{2}^{-}$与N${H}_{4}^{+}$浓度的变化。
图8 代谢物组成与环境参数之间的相关性

Fig.8 The correlations between metabolites and environmental parameters

与此同时,DOC质量浓度的变化也明显受到潮汐作用的影响。表层水中DOC质量浓度在涨潮期高于落潮期,揭示海水可能贡献了高质量浓度的DOC。在落潮期,Z3区底层水的盐度高于近岸Z1区,表明其受海水影响更强,理论上应拥有更高的DOC质量浓度。然而,实际测量发现落潮期三层水体的DOC质量浓度相近,且DOC与盐度、pH及叶绿素a等指标的相关性不显著(图8),暗示咸淡水的混合过程并不是影响DOC质量浓度变化的主要因素。此外,在涨潮期,DOC质量浓度最高值出现在Z2区底层(站位F2-10,图2k),位于悬沙锋与盐度锋之间,表明涨潮导致的底质扰动即再悬浮过程,可能释放出较多有机质,从而提高DOC的质量浓度。在落潮期,再悬浮过程释放出的溶解性有机质会迅速扩散到其他区域,导致三层水体的DOC质量浓度接近。
代谢物的组成特征进一步揭示了DOM库中小分子代谢物组成的多样性。落潮期间,尽管水体中DOC质量浓度在垂向上变化不显著,但代谢物呈现出更高的空间异质性(图6a)。这说明代谢物组成发生了快速重构,这一过程可能与微生物的快速转换相关[26]。ARNOSTI等[27]在研究中指出,海洋环境中的细菌能够通过分泌胞外酶水解高分子量溶解有机碳底物并释放低分子量产物。这为DOM的快速重构提供了机制解释,同时也说明,微生物能够快速响应环境压力的变化,并重塑DOM库的分子多样性。代谢物组成的潮汐差异性也反映在代谢物的超类组成变化上。落潮期间,表层水体中的有机含氧化合物(比如碳水和酮类化合物)的百分比明显要高于涨潮期间(图5)。一般认为有机含氧化合物主要源自浮游植物,如甘露醇(Mannitol)、水杨苷(Salicin)等广泛存在于海洋藻类中[28]。落潮时,外海底层水体盐度显著升高且高盐区域扩展(图1b1c),表明高盐、高海源有机质的底层水从底部向近岸涌升,并与富含有机质的表层水发生混合。本研究中观察到的落潮期有机含氧化合物含量较高的现象,也与前人报道的低潮期单糖变化显著相一致[6]。另外,涨、落潮期间代谢物在超类水平上均以脂类和类脂分子为主。两个时期,脂类物质的平均百分比分别为39.6%和38.8%,差异较小。然而,在悬沙锋内(Z1区),落潮时表层与底层水体中脂类化合物百分比的差异较为显著,表层的平均百分比为30.7%,底层的平均百分比为39.6%,底层高于表层,平均差值达8.9%(图5)。这与该区域内的浊度受潮汐影响更大、沉积物再悬浮作用更强烈的观测结果一致(图1),表明强烈的再悬浮过程是造成脂类化合物差异性的潜在因素。这一现象也反映了脂类物质的疏水性[7],脂类物质更倾向于结合在沉积物中,当沉积物发生再悬浮时,富集其中的疏水脂类物质会因降解作用而释放并溶于水中。

3.2 溶解性代谢物组成的影响因素

环境参数与溶解性代谢物组成关系的RDA分析结果显示,盐度、pH与水深等指标主要反映海洋端元的聚合效应。N${O}_{3}^{-}$、Si${O}_{3}^{2-}$和P${O}_{4}^{3-}$这3种营养盐浓度没有受潮汐的影响,表现出明显的从近岸到外海浓度递减的趋势(图2),其更多指示了陆源输入的影响;N${O}_{3}^{-}$、Si${O}_{3}^{2-}$和P${O}_{4}^{3-}$浓度与盐度呈负相关(图8),且在代谢物与环境参数的冗余分析中发现这3个参数在RDA1轴上有较高的权重(图6),说明陆源输入可能主导了海水溶解性代谢物的组成。这与以往对长江口从河口到外海溶解有机质的基本来源格局的认识相符[29]。进一步的相关性分析发现,盐度与大部分超类代谢物组成呈现显著的负相关性(图8),这也支持了陆源输入是控制代谢物组成的主要因素这一论点。与N${O}_{3}^{-}$、Si${O}_{3}^{2-}$和P${O}_{4}^{3-}$浓度等陆源输入参数相关性较高的站位主要集中在悬沙锋内侧(站位F2-2、F2-4和F2-6),同时这些站位与浊度、叶绿素a和DOC等参数的聚合性也较高,说明其他因素也会影响溶解性代谢物的组成特征。涨潮期间,悬沙锋内侧的DOC质量浓度和N${O}_{2}^{-}$浓度普遍高于落潮期间(站位F2-4除外,图2),表明再悬浮过程可能会增加营养盐和DOC释放。浊度与营养盐之间的显著正相关性(图8)进一步支持了这一推断。然而,浊度与DOC质量浓度无明显的相关性(图8),这可能说明再悬浮所引发的有机质释放过程持续时间较短,影响范围有限,并且会随着潮汐运动在小范围内迅速扩散。该认识与涨潮时过渡区(Z2区)底层水DOC质量浓度高于表层水相一致。浊度与大部分超类代谢物没有呈现明显的相关性,说明沉积物的再悬浮并不能显著改变代谢物组成,难以在更大空间尺度上改变DOM的整体代谢物组成结构。然而有机含氮化合物和有机卤素化合物与浊度有显著正相关性(图8,p<0.05),暗示这两类物质的动态可能与微生物活动有关。前期研究指出,浊度升高可刺激反硝化过程,释放潜在含氮化合物[26]。结合研究区域中有机含氮化合物以胺类化合物为主,进一步表明浊度与微生物氮元素循环的相关性。
差异性代谢物的分析表明,涨潮时相对丰度显著升高的代谢物数量远多于落潮时相对丰度显著升高的代谢物数量(90 vs 16,图7),这揭示了潮汐的相位切换对溶解有机质分子转化存在不对称的驱动效应。其中,差异性最显著的15个代谢物主要归属脂类、杂环类、苯丙素类与聚酮类物质(具体分子结构详见图7c)。这些单体代谢分子在环境中的相关报道相对较少,但基于超级分类可以推测其潜在来源:脂类物质可能源于浮游植物的贡献,而杂环类(如吲哚及其衍生物)和苯丙素类物质(如黄酮)则可能与微生物的次级代谢产物相关[24-25]。目前研究表明,杂环类物质是溶解性有机氮化合物的主要组成部分[13],尤其是在氮限制的寡营养远洋海区,杂环类物质常作为惰性有机质长期存在。尽管本研究区域海水中富含铵盐和硝酸盐,但杂环类物质并未在潮周期尺度上表现出剧烈的浓度波动,这表明它们具有较高的稳定性,从而支持其潜在的惰性。值得注意的是,杂环类物质相对丰度的平均百分比高达15.4%,这对于理解它们向外远海的输送机制具有重要意义。
因此,在半日潮周期内,海洋和陆源DOM的输入和混合过程,控制了溶解性代谢物组成特征的基本格局。然而,潮汐动力作用引发的沉积物再悬浮会促进营养盐和部分有机质的释放,并刺激微生物对沉积颗粒有机质的降解,从而在局部、短时间尺度上增加水体中DOM的含量。微生物降解有机质的过程可能重塑了溶解性代谢物的组成。
本研究聚焦于陆海作用最强烈的锋面结构区域(50 km范围内),相较于河口至外海的大尺度范围,区域尺度内海水溶解性代谢物的快速变化印证了锋面系统对长江口及其邻近区域DOM分布格局的关键调控作用。然而,锋面结构具有高动态性,其位置与强度存在显著的季节性迁移[24]。因此,未来研究需进一步整合不同时间尺度(如季节)观测结果,深化锋面区域溶解性有机质动态响应机制的解析。

4 结论

本研究基于高分辨率的时空采样,深入探讨了半日潮汐周期内长江口盐度锋与悬沙锋之间海水DOM中小分子代谢物的组成特征。结果表明,悬沙锋面的屏障作用可能导致潮汐作用与生物地球化学参数之间存在不同步性。DOM的分布与转化除了受潮汐作用影响,同时还受海水和陆源淡水输入所驱动,呈现出显著的涨潮与落潮阶段海水溶解性代谢物组成的差异性。落潮期间代谢物的高空间异质性表明在沉积物再悬浮的作用下,微生物快速响应环境压力变化,使得代谢物组成也发生了快速重构。这一过程在超类与单体分子水平上均有体现,其差异性反映了在潮汐作用对长江口锋面结构影响下,海洋与陆地来源的溶解有机质混合、沉积物再悬浮以及潜在微生物代谢的综合作用对代谢物多样性的影响。本研究从DOM分子结构多样性角度出发,提高了对海洋DOM化学结构多样性的认识,同时也加深了对物理海洋过程在海洋DOM循环中作用机制的理解。
[1]
毛汉礼, 甘子钧, 蓝淑芳. 长江冲淡水及其混合问题的初步探讨[J]. 海洋与湖沼, 1963(3):183-206.

MAO H L, GAN Z J, LAN S F. A preliminary study of the Yangtze diluted water and its mixing processes[J]. Oceanologia et Limnologia Sinica, 1963(3): 183-206.

[2]
刘东艳, 吕婷, 林磊, 等. 我国近海陆架锋面与生态效应研究回顾[J]. 海洋科学进展, 2022, 40(4):725-741.

LIU D Y, T, LIN L, et al. Review of fronts and its ecological effects in the shelf sea of China[J]. Advances in Marine Science, 2022, 40(4): 725-741.

[3]
宁修仁, 史君贤, 蔡昱明, 等. 长江口和杭州湾海域生物生产力锋面及其生态学效应[J]. 海洋学报, 2004, 26(6):96-106.

NING X R, SHI J X, CAI Y M, et al. Biological productivity front in the Changjiang Estuary and the Hangzhou Bay and its ecological effects[J]. Acta Oceanologica Sinica, 2004, 26(6): 96-106.

[4]
GE J Z, DING P X, CHEN C S, et al. An integrated East China Sea-Changjiang Estuary model system with aim at resolving multi-scale regional-shelf-estuarine dynamics[J]. Ocean Dynamics, 2013, 63(8): 881-900.

DOI

[5]
SANTOS L, PINTO A, FILIPE O, et al. Insights on the optical properties of estuarine DOM-hydrological and biological influences[J]. PLoS One, 2016, 11(5): e0154519.

DOI

[6]
SONG S Z, GAO L, GE J Z, et al. Tidal effects on variations in organic and inorganic biogeochemical components in Changjiang (Yangtze River) Estuary and the adjacent East China Sea[J]. Journal of Marine Systems, 2022, 227: 103692.

DOI

[7]
ZHANG S Q, YIN Y G, YANG P J, et al. Using the end-member mixing model to evaluate biogeochemical reactivities of dissolved organic matter (DOM): Autochthonous versus allochthonous origins[J]. Water Research, 2023, 232: 119644.

DOI

[8]
TAKASU H, UCHINO K, MORI K. Dissolved and particulate organic matter dynamics relative to sediment resuspension induced by the tidal cycle in macrotidal estuaries, Kyushu, Japan[J]. Water, 2020, 12(9): 2561.

DOI

[9]
DADI T, WENDT-POTTHOFF K, KOSCHORRECK M. Sediment resuspension effects on dissolved organic carbon fluxes and microbial metabolic potentials in reservoirs[J]. Aquatic Sciences, 2017, 79(3): 749-764.

DOI

[10]
ZHANG C, LI Y Q, ZHU J Y, et al. Salinity stress modulates the dynamic co-occurrence interactions between DOM and microbial community profiles in a typical river-estuary-ocean continuum: From the Pearl River to South China Sea[J]. American Chemical Society Environmental Science & Technology Water, 2025, 5(5): 2096-2109.

[11]
MAIE N, PISANI O, JAFFÉ R. Mangrove tannins in aquatic ecosystems: Their fate and possible influence on dissolved organic carbon and nitrogen cycling[J]. Limnology and Oceanography, 2008, 53(1): 160-171.

DOI

[12]
BROEK T A B, MCCARTHY M D, IANIRI H L, et al. Dominant heterocyclic composition of dissolved organic nitrogen in the ocean: A new paradigm for cycling and persistence[J]. Proceedings of the National Academy of Sciences, 2023, 120(49): e2305763120.

DOI

[13]
JOHNSON W M, LONGNECKER K, KIDO SOULE M C, et al. Metabolite composition of sinking particles differs from surface suspended particles across a latitudinal transect in the South Atlantic[J]. Limnology and Oceanography, 2020, 65(1): 111-127.

DOI

[14]
ALSEEKH S, AHARONI A, BROTMAN Y, et al. Mass spectrometry-based metabolomics: A guide for annotation, quantification and best reporting practices[J]. Nature Methods, 2021, 18(7): 747-756.

DOI PMID

[15]
LONGNECKER K, FUTRELLE J, COBURN E, et al. Environmental metabolomics: Databases and tools for data analysis[J]. Marine Chemistry, 2015, 177: 366-373.

DOI

[16]
DITTMAR T, KOCH B, HERTKORN N, et al. A simple and efficient method for the solid-phase extraction of dissolved organic matter (SPE-DOM) from seawater[J]. Limnology and Oceanography: Methods, 2008, 6(6): 230-235.

DOI

[17]
孙策策, 刘军, 张爱军, 等. 环渤海河流营养盐的向海输送及环境效应[J]. 中国环境科学, 2024, 44(1):178-192.

SUN C C, LIU J, ZHANG A J, et al. Nutrient transport in rivers around the Bohai Sea and its environmental implications[J]. China Environmental Science, 2024, 44(1): 178-192.

[18]
ABDELHAMEED R M, HAMMAD S F, ABDALLAH I A, et al. A hybrid microcrystalline cellulose/metal-organic framework for dispersive solid phase microextraction of selected pharmaceuticals: A proof-of-concept[J]. Journal of Pharmaceutical and Biomedical Analysis, 2023, 235: 115609.

DOI

[19]
WANG J L, ZHANG T, SHEN X T, et al. Serum metabolomics for early diagnosis of esophageal squamous cell carcinoma by UHPLC-QTOF/MS[J]. Metabolomics, 2016, 12(7): 116.

DOI

[20]
SMITH C A, WANT E J, O’MAILLE G, et al. XCMS: Processing mass spectrometry data for metabolite profiling using nonlinear peak alignment, matching, and identification[J]. Analytical Chemistry, 2006, 78(3): 779-787.

DOI PMID

[21]
ZHOU Z W, LUO M D, ZHANG H S, et al. Metabolite annotation from knowns to unknowns through knowledge-guided multi-layer metabolic networking[J]. Nature Communications, 2022, 13: 6656.

DOI PMID

[22]
DUNN W B, BROADHURST D, BEGLEY P, et al. Procedures for large-scale metabolic profiling of serum and plasma using gas chromatography and liquid chromatography coupled to mass spectrometry[J]. Nature Protocols, 2011, 6(7): 1060-1083.

DOI PMID

[23]
LI W Q, GE J Z, DING P X, et al. Effects of dual fronts on the spatial pattern of chlorophyll-a concentrations in and off the Changjiang River Estuary[J]. Estuaries and Coasts, 2021, 44(5): 1408-1418.

DOI

[24]
GAO L, LI D J, DING P X. Quasi-simultaneous observation of currents, salinity and nutrients in the Changjiang (Yangtze River) plume on the tidal timescale[J]. Journal of Marine Systems, 2009, 75(1/2): 265-279.

DOI

[25]
ZHENG Y L, HOU L J, ZHANG Z X, et al. Overlooked contribution of water column to nitrogen removal in estuarine turbidity maximum zone (TMZ)[J]. Science of the Total Environment, 2021, 788: 147736.

DOI

[26]
CHEN X W, WEI W, WANG J N, et al. Tide driven microbial dynamics through virus-host interactions in the estuarine ecosystem[J]. Water Research, 2019, 160: 118-129.

DOI PMID

[27]
ARNOSTI C, REINTJES G, AMANN R. A mechanistic microbial underpinning for the size-reactivity continuum of dissolved organic carbon degradation[J]. Marine Chemistry, 2018, 206: 93-99.

DOI

[28]
TONON T, LI Y, MCQUEEN-MASON S. Mannitol biosynthesis in algae: More widespread and diverse than previously thought[J]. New Phytologist, 2017, 213(4): 1573-1579.

DOI PMID

[29]
CHEN Z L, YI Y B, ZHANG H B, et al. Differences in dissolved organic matter molecular composition along two plume trajectories from the Yangtze River Estuary to the East China Sea[J]. ACS Environmental Au, 2024, 4(1): 31-41.

DOI PMID

文章导航

/