Evaluation the nonlinear wave spectrum of third-order Stokes waves based on NDBC buoy data

  • HE Chaochao , 1 ,
  • WANG Ziyun 1 ,
  • CAI Feng 2 ,
  • WANG Haili 3 ,
  • WANG Jin 1 ,
  • LIU Yuli 1 ,
  • DONG Changming , 1, 4, *
Expand
  • 1. School of Marine Sciences, Nanjing University of Information Science and Technology, Nanjing 210044, China
  • 2. Department of Navigation, Dalian Naval Academy, Dalian 116000, China
  • 3. State Key Laboratory of Tropical Oceanography, South China Sea Institute of Oceanology, Chinese Academy of Sciences, Guangzhou 510301, China
  • 4. Southern Marine Science and Engineering Guangdong Laboratory (Zhuhai), Zhuhai 519000, China

Received date: 2024-12-03

  Revised date: 2025-04-02

  Online published: 2025-10-15

Abstract

Ocean waves are a fundamental component of marine dynamics, exerting significant impacts on maritime navigation and offshore operations. The wave spectrum provides an effective representation of the statistical distribution of wave energy across the frequency domain. In this study, observational data from 70 NDBC buoy stations were used to retrieve significant wave heights based on both the JONSWAP spectrum and the third-order Stokes nonlinear spectrum. Results show that, compared with the JONSWAP-based retrievals, the nonlinear spectrum achieves average improvements degree exceeding 10% in both absolute and relative errors, with maximum improvements degree of 28.54% and 22.29%, respectively, demonstrating the nonlinear spectrum’s clear advantages. Further analysis indicates that the performance degrees of the nonlinear spectrum are closely related to significant wave height, wind speed, the angle between wind and wave directions, and water depth. Specifically, the improvement degree increases with larger wave heights and stronger winds; smaller directional angle between wind and waves yields greater benefits, though wind speed exerts a much stronger influence than directional angle. In water depths shallower than 500 m, the inversion accuracies of both wave spectras are higher than those in depths deeper than 500 m. However, within the depth range of 500-5 500 m, the improvement degree in the nonlinear spectrum exceeds that in the shallow-water region, showing a linear increasing trend.

Cite this article

HE Chaochao , WANG Ziyun , CAI Feng , WANG Haili , WANG Jin , LIU Yuli , DONG Changming . Evaluation the nonlinear wave spectrum of third-order Stokes waves based on NDBC buoy data[J]. Journal of Marine Sciences, 2025 , 43(3) : 11 -20 . DOI: 10.3969/j.issn.1001-909X.2025.03.002

0 引言

海浪蕴含着巨大的能量,轻则导致船舶剧烈摇晃,重则可能引发沉船事故。海浪对海上作业、海岸防护设施、港口码头等具有显著的破坏作用。伴随海上作业设备数量的增长,极端海浪载荷计算的精度要求逐步提高,这对海浪数据的数量和质量都提出了更高要求,亟需大量高精度海浪数据予以支撑。而在海浪实测数据较为稀缺的情况下,开展海浪谱的研究,能够有效反演海浪信息,为防灾减灾提供保障[1-2]
在海浪理论模型的构建中,线性波理论通过假设波高远小于波长和水深,利用线性方程描述波动。该理论能够清晰地表达海浪的基本运动特征,是研究复杂海浪理论模型的基础[3-4]。但实际的海浪波峰陡峭而波谷平缓,与线性波理论假设存在显著差异。为此,STOKES[5]提出了有限振幅波理论,该理论假设波的振幅与波长之比是非线性变化的。该理论能够更好地模拟波面的不对称结构。在更高阶的非线性海浪理论研究中,LONGUET-HIGGINS[6]于1963年提出了著名的随机波动非线性海浪模型,该模型对非线性海浪进行了统计分析,导出了深水状态下海浪波面高度的非正态分布以及波面偏度的理论表达式。同年,HASSELMANN等[7]将二阶谱方法应用于海浪研究,推导出以水底压强表示的理论二阶谱,为随机海浪二阶非线性特征的研究奠定了理论基础。
目前大多数海浪谱的构建均基于实测数据,通过统计学方法推导而成。PIERSON等[8]基于北大西洋 1955—1960 年的现场观测数据,选取了充分成长状态下的海浪资料,据此提出了适用于描述充分成长状态风浪的Pierson-Moskowitz (P-M) 谱。1968—1969年,英国、荷兰、美国、德国等国家的相关机构联合开展了“联合北海海浪计划”(Joint North Sea Wave Project,简称JONSWAP)。HASSELMANN等[9]于1973年利用这些观测资料提出了JONSWAP谱。1980年,HASSELMANN等[10]进一步计算了谱参数与风区的依赖关系,证明JONSWAP谱可以用于描述成长中的海浪。随后,MITSUYASU等[11]基于Abaco湾和日本近海的现场观测资料开展分析,结果表明JONSWAP谱与实测数据具有良好的一致性。1998年,YOUNG[12]通过分析大量台风影响下的海浪谱数据,认为JONSWAP谱能较好地拟合台风影响下的海浪谱。为便于工程应用,GODA[13]提出了改进的JONSWAP谱。XIA等[14]利用四阶非线性Schrödinger方程模拟了具有JONSWAP谱特征的二维随机波场中畸形波的生成过程,并探讨了JONSWAP谱参数对波场峰度、偏度、显著波高和异常波发生概率的影响。2019年,ZOU等[15]利用改进的JONSWAP谱生成随机波序列,研究了畸形波对海浪参数的敏感性。
由于JONSWAP谱是线性谱,对于具有显著非线性特征的海浪过程难以进行准确描述。根据沈正等[16]计算的三阶Stokes波近似解,薛亚东等[17]建立了非线性JONSWAP谱。本研究基于多组NDBC浮标观测数据,验证了该非线性JONSWAP谱较经典JONSWAP谱具有更优的适用性,并进一步分析了非线性谱在不同有效波高、风速、风向与波向夹角以及水深条件下的适用性提升程度。

1 数据

本研究采用的实测波高浮标数据来自美国国家浮标数据中心(National Data Buoy Center,NDBC, https://www.ndbc.noaa.gov/)。NDBC提供的标准气象数据经过严格质量控制,包含风速、风向、有效波高(以下简称波高)、主波周期、波向等变量。浮标数据通常被认为具有较高的数据质量,因而常被用于验证高度计反演的波高数据[18-22]。本研究选取了北太平洋和大西洋区域70个浮标站点的标准气象数据,站点信息详见图1表1,其中站点42057的数据为2020年观测数据,其余站点数据均为2022年观测数据。由于JONSWAP谱适用于风浪模型, 计算得到70个浮标站点混合浪的出现频率仅为3.28%,风浪出现频率远大于混合浪,因此将70个浮标站点数据都近似看作风浪数据。
图1 本文选用的70个NDBC浮标站点分布

Fig.1 The distribution of the selected 70 NDBC buoy stations

表1 70个NDBC浮标站点信息

Tab.1 Information of 70 NDBC buoy stations

序号 NDBC站点序号 经度 纬度 站点水深/m 序号 NDBC站点序号 经度 纬度 站点水深/m
1 41001 72.242°W 34.703°N 4 501.0 36 46012 122.881°W 37.356°N 208.8
2 41002 74.936°W 31.759°N 3 784.0 37 46013 123.317°W 38.235°N 127.0
3 41010 78.485°W 28.878°N 890.0 38 46014 123.974°W 39.231°N 356.0
4 41013 77.764°W 33.441°N 33.0 39 46015 124.844°W 42.752°N 446.0
5 41040 53.130°W 14.532°N 4 944.0 40 46022 124.527°W 40.748°N 419.0
6 41043 64.793°W 21.026°N 5 262.0 41 46026 122.839°W 37.754°N 54.9
7 41044 58.630°W 21.582°N 5 419.0 42 46027 124.382°W 41.840°N 60.0
8 41046 68.393°W 23.822°N 5 490.0 43 46028 121.903°W 35.770°N 1 154.0
9 41047 71.452°W 27.465°N 5 347.0 44 46029 124.487°W 46.163°N 131.0
10 41048 69.573°W 31.831°N 5 394.0 45 46035 177.703°W 57.016°N 3 694.0
11 41049 62.938°W 27.490°N 5 459.0 46 46041 124.739°W 47.352°N 131.0
12 42001 89.662°W 25.926°N 3 200.0 47 46042 122.396°W 36.785°N 1 693.0
13 42002 93.646°W 26.055°N 3 088.0 48 46047 119.525°W 32.388°N 1 423.0
14 42019 95.345°W 27.910°N 83.5 49 46050 124.546°W 44.669°N 160.0
15 42020 96.687°W 26.955°N 84.0 50 46053 119.839°W 34.241°N 405.0
16 42036 84.508°W 28.501°N 50.9 51 46054 120.468°W 34.274°N 454.0
17 42039 86.000°W 28.787°N 281.0 52 46059 129.976°W 38.069°N 4 640.0
18 42040 88.237°W 29.207°N 192.0 53 46061 146.833°W 60.283°N 222.0
19 42055 94.112°W 22.140°N 3 608.0 54 46066 155.009°W 52.765°N 4 457.0
20 42057 81.462°W 16.918°N 368.0 55 46069 120.213°W 33.677°N 977.8
21 42059 67.483°W 15.300°N 4 761.0 56 46071 180.216°W 51.022°N 4 018.0
22 42099 84.275°W 27.349°N 93.9 57 46072 172.114°W 51.666°N 3 566.0
23 44005 69.127°W 43.201°N 176.8 58 46073 172.012°W 55.008°N 3 471.0
24 44007 70.140°W 43.525°N 49.0 59 46075 160.794°W 53.969°N 2 318.0
25 44008 69.250°W 40.496°N 72.0 60 46076 148.009°W 59.471°N 192.0
26 44009 74.692°W 38.460°N 24.0 61 46077 154.211°W 57.869°N 200.0
27 44013 70.651°W 42.346°N 64.6 62 46080 150.042°W 57.947°N 254.5
28 44018 70.154°W 42.203°N 43.9 63 46082 143.353°W 59.670°N 296.0
29 44025 73.164°W 40.251°N 36.3 64 46083 138.019°W 58.270°N 128.9
30 44027 67.300°W 44.283°N 191.4 65 46084 136.102°W 56.622°N 1 158.0
31 44066 72.644°W 39.618°N 77.0 66 46086 118.052°W 32.499°N 1 844.7
32 46002 130.507°W 42.662°N 3 478.0 67 46089 125.793°W 45.936°N 2 375.0
33 46005 131.079°W 46.134°N 2 852.0 68 51000 153.792°W 23.528°N 4 762.0
34 46006 137.377°W 40.764°N 4 347.0 69 51002 157.746°W 17.042°N 4 997.0
35 46011 120.998°W 34.936°N 419.0 70 51101 162.081°W 24.359°N 4 860.0

2 方法

2.1 JONSWAP谱估算方法

JONSWAP谱能够描述不同成长阶段风浪的动力学特征,可有效估算海浪能量、波高和周期等关键参数,在海洋工程、海浪预报和海浪模拟等领域具有广泛应用。
JONSWAP计划是在丹麦与德国交界附近的叙尔特岛西海岸布置了一个测波断面,该断面向西偏北方向延伸至北海,总长度达160 km,沿该断面共布置了13个观测站点,测区最大水深为50 m。GODA[13]改进的JONSWAP谱所需输入参数较少,因而更适用于工程应用领域[15,23]。在确定海浪的波周期和波高后,即可估算海浪谱密度,其具体表达式为
$ S(f)=\beta_{\mathrm{J}} H_{1 / 3}^{2} T_{\mathrm{P}}^{-4} f^{-5} \exp \left[-\frac{5}{4}\left(T_{\mathrm{P}} f\right)^{-4}\right] \gamma^{\exp \left[-\left(\frac{f}{f_{\mathrm{P}}}-1\right)^{2} / 2 \sigma^{2}\right]}$
βJ= 0.062   38 0.230 + 0.336 γ - 0.185 ( 1.9 + γ ) - 1(1.094-0.019 15lnγ)
Tp= T H 1 / 3 1 - 0.132 ( γ + 0.2 ) - 0.559
σ= 0.07 :   f f p 0.09 :   f f p
式中:S(f)为频率f下的谱密度;H1/3 T H 1 / 3分别为波高和对应的波周期;Tp为谱峰周期,与谱峰频率fp互为倒数;γ为谱峰增强因子,平均值为3.3;βJ用于计算归一化频谱,确保频谱的能量积分与实际海况相符;σ为峰形参数,控制谱峰在不同频率区域的宽度。

2.2 三阶Stokes波的非线性海浪谱估算方法

HSU等[24]与SONG等[25]研究了Stokes波的三阶近似解。TSUCHIYA等[26]基于表面运动学/动力学条件、无旋流动等物理约束重新推导了三阶近似解,避免了人为约束引入的偏差,得到了更普适的三阶Stokes波解。ZHAO等[27]简述了Stokes波的发展历史并导出了一组新的五阶Stokes波解。由于三阶Stokes波理论体系相对较为完备,本研究使用了沈正等[16]与薛亚东等[17]基于三阶Stokes波解建立的非线性谱。三阶Stokes波的弥散关系和波面函数如下:
ω2= 1 2gk(1+ 1 + 4 a 2 k 2)
$ \zeta(\theta)=a\left(1+\frac{5}{8} a^{2} k^{2}\right) \cos \theta+\frac{1}{2} a^{2} k \cos 2 \theta+\frac{3}{8} a^{3} k^{2} \cos 3 \theta$
式中:ω为频率,k为波数,a为振幅,ζ为自由表面垂直位移,θ为相位,g为重力加速度。
根据公式(5)和公式(6),将JONSWAP谱作为线性谱,计算三阶Stokes波近似解中原始频率、二倍频和三倍频对应的能量:
$ \left\{\begin{array}{l}\frac{1}{2} a_{i}^{2}=S_{i} \Delta \omega \\A_{i}^{1}=a_{i}\left(1+\frac{5}{8} a_{i}^{2} k_{i}^{2}\right) \\A_{i}^{2}=\frac{1}{2} a_{i}^{2} k_{i} \\A_{i}^{3}=\frac{3}{8} a_{i}^{3} k_{i}^{2} \\S_{i}^{m}=\frac{1}{\Delta \omega} \frac{1}{2}\left(A_{i}^{m}\right)^{2}\end{array}\right.$
式中:Si表示第i个海浪分量的能量分布密度,ai是第i个海浪分量的线性振幅,Ai表示第i个海浪分量的一阶修正振幅,ki为第i个海浪分量的波数,i=1,2,3,…,N;m表示海浪分量的阶数,m=1,2,3;Δω表示频率间隔。
根据原始频率、二倍频和三倍频对应的能量,可计算得到新的能量分布密度与频率分布,并将其作为非线性海浪谱:
S i *= S i 1+ S i 2+ S i 3
ω i *= 1 2 g k i ( 1 + 1 + 4 A i 2 k i 2 )

2.3 海浪谱评估方法

后文中采用线性谱表示JONSWAP谱,采用非线性谱表示基于三阶Stokes波修正的JONSWAP谱。可根据下式计算获得线性谱和非线性谱反演的波高与实测波高的偏差(Bias)与均方根误差(RMSE)[28]:
Bias= 1 n 1 n ( x * - x )
RMSE= 1 n 1 n ( x * - x ) 2
式中:x*为反演值,x为实测值,n为数据长度。
另外选取绝对误差(σ)、相对误差(ε)和包络面积(δ)三个指标进一步评估线性谱和非线性谱的反演结果:
σ = 1 n 1 n x * - x
ε = 1 n 1 n x * - x x × 100 %
δ = 1 n x * Δ t - 1 n x Δ t
式中:Δt表示时间步长。
非线性谱的提升程度用百分比表示:
p= ( a - b ) a×100%
式中:a为线性谱的绝对误差、相对误差或包络面积;b为非线性谱的绝对误差、相对误差或包络面积;p表示提升百分比,为正表示非线性谱优于线性谱,为负表示线性谱优于非线性谱。

3 结果

3.1 总体评估结果

本文选择的70个浮标站点广泛分布于大西洋和北太平洋的不同水深,其实测波高的分布直方图(图2,N=603 084)显示:波高主要分布在0~6 m之间,波高大于3 m的数据有72 247个,占比为11.98%;波高大于4 m的数据有25 768个,占比为4.27%。后文中将波高大于3 m视为较大波高情况。
图2 所有浮标站点数据随波高的分布

Fig.2 Distribution of data quantity concerning wave heights across all buoy stations

表2中结果可知,非线性谱的平均偏差以及均方根误差均小于线性谱。综合来看,非线性谱的反演精度相较于线性谱更高。
表2 线性谱和非线性谱反演波高与实测波高的平均偏差和均方根误差

Tab.2 Mean bias and root mean square error between inverted wave heights from linear and nonlinear spectra and measured wave heights

海浪谱 平均偏差/m 平均均方根误差/m
线性谱 -0.002 2 0.003 7
非线性谱 -0.001 1 0.003 1
由70个浮标站点的非线性谱反演结果提升程度的统计结果(表3)可知,非线性谱反演结果相较于线性谱均有不同程度的提升,其中包络面积精度的提升程度最大,在考虑全部波高数据的情况下,平均能达到55.16%;绝对误差提升程度次之,平均能达到13.05%;相对误差提升程度最小,平均为11.19%。另外,仅计算波高大于3 m的数据时,提升程度均有所增加,约为全部波高数据提升程度的2倍左右,表示在波高较大的情况下,非线性谱的反演效果更优。由于筛选出的波高大于3 m数据的时间序列间隔不同,因此未计算其包络面积提升程度。
表3 非线性谱相较于线性谱反演结果提升程度统计

Tab.3 Statistics on the improvement degree of inversion results from nonlinear spectrum relative to linear spectrum

误差指标 最大提升程度/% 最小提升程度/% 平均提升程度/%
全部
波高
波高
>3 m
全部
波高
波高
>3 m
全部
波高
波高
>3 m
相对误差 22.29 47.73 1.68 4.69 11.19 24.07
绝对误差 28.54 49.58 2.28 4.18 13.05 24.74
包络面积 98.59 18.10 55.16

3.2 反演结果提升程度与波高的关系

将70个浮标站点数据逐月平均,得到波高的月变化(图3a)。结果显示波高存在明显的季节变化,北半球冬季(12月—次年2月)波高较大,夏季(6月—8月)波高较小,差值最大为1 m左右。由70个浮标站点的非线性谱和线性谱反演结果的绝对误差月平均结果(图3b)可知,绝对误差与波高的季节变化一致:冬季,两种谱的反演结果绝对误差均较大,达到3×10-3 m以上;夏季绝对误差较小,在2×10-3 m左右。即波高较大时,绝对误差也较大。同时,非线性谱反演结果的绝对误差在全年均小于线性谱反演结果,并且差值在冬季大于夏季。反演结果相对误差的季节变化趋势不明显,非线性谱相对误差均小于线性谱,线性谱相对误差保持在0.14%以上,非线性谱相对误差最大约为0.14%。综上,从70个浮标站点数据反演结果看,非线性谱优于线性谱。
图3 平均波高月变化(a)与线性谱、非线性谱反演结果的相对误差、绝对误差对比(b)

Fig.3 Monthly changes in the average wave height (a), comparison of relative and absolute errors between linear and nonlinear spectrum inversion results (b)

为了得到70个浮标站点的波高与非线性谱反演结果提升程度的关系,同时排除不同站点水深带来的影响,将所有站点数据按照波高区间进行划分,计算非线性谱反演结果相对误差在每个波高区间内的提升程度(图4)。结果显示,波高小于3 m时,相对误差提升程度随波高增大而缓慢增加,最高可以达到10%左右;波高达到3 m以后,相对误差提升程度的增长速度变快。3~4 m波高区间内,相对误差提升程度最高可达30%,但在此区间内提升程度不稳定,也存在下降的情况。上述结果可进一步说明波高越大,非线性谱的反演精度越优,表明非线性谱更适用于极端海况下的波高数据反演。
图4 非线性谱反演结果相对误差的提升程度随波高分布

Fig.4 Distribution of the improvement degree in the relative error of the nonlinear spectrum inversion results

3.3 反演结果提升程度与风速、风向与波向夹角的关系

图5展示了70个浮标站点的波高以及非线性谱相对误差提升程度随风速和风向与波向夹角(后文简称夹角)的平均变化趋势。由图5a可知,随着风速的增加,70个浮标站点的平均波高逐渐增加,风速增大到18 m/s后,波高不再增加,稳定在6 m左右。同时,随着风速的增加,非线性谱相对误差的提升程度也在逐渐增加。在风速小于12 m/s时,提升程度增加趋势较平缓,一直处于20%以下;当风速超过12 m/s、波高超过3 m后,提升程度的增加幅度变大,但是增加过程变得不稳定;风速达到18 m/s后,提升程度基本稳定在40%~60%之间;风速最大时,提升程度接近100%。上述结果说明,风速对于非线性谱反演精度的影响主要是通过影响波高来实现的。
图5 平均相对误差提升程度随风速(a)和夹角(b)的变化趋势

Fig.5 Trends of the average improvement degree in the relative errors concerning wind speed (a) and directional angle (b)

图5b显示,随着夹角的增加,风逐渐由顺风变为逆风,波高缓慢减小,由平均2 m减小到160°时的约1.3 m,夹角为180°时,波高接近1.0 m。随着波高的减小,非线性谱相对误差的提升程度也逐渐减小,在夹角为0°~120°的范围内,提升程度由10%左右减小到5%左右。与风速达到12 m/s后的情况相似,当夹角大于120°后,提升程度的变化不稳定。原因可能是波高数据主要集中在小夹角、低风速情况下,大夹角、高风速情况下的数据量较少。夹角大于160°以后,提升程度大多在5%~10%区间震荡,另外还有提升程度为负值的情况出现。图5b结果说明,风向和波向的夹角,即波的运动是顺风还是逆风与非线性谱反演精度同样存在一定的相关性,并且和风速的影响过程基本一致,都是通过影响波高的大小来影响反演精度。

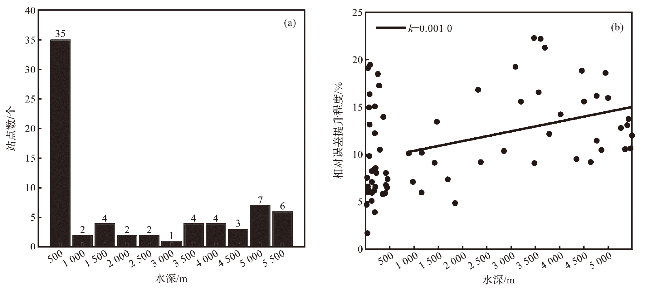
3.4 反演结果提升程度与浮标站点水深的关系

将70个浮标站点按照水深排序,得到每500 m水深区间内的站点数(图6a)。0~500 m水深区间内的站点数最多,占比为50%。由于500 m以浅水深的站点数远大于500 m以深的站点数,本文以500 m水深为间隔,计算得到非线性谱反演结果相对误差提升程度与水深的散点图(图6b)。由图可知,在500 m水深以浅,提升程度没有明显的线性变化趋势,数值分布在2%~20%之间,比较分散。在水深大于500 m时,散点分布表现出线性增加的趋势(斜率k=0.001 0),表明水深每增加1 000 m,非线性谱提升程度大约增加1%,在500~5 000 m水深区间内提升程度增加了5%左右。
图6 水深区间站点分布(a)以及站点水深与相对误差提升程度散点图(b)

Fig.6 Distribution of stations in water depth intervals (a) and scatter plot of station water depth and relative error improvement degree (b)

由不同水深区间内非线性谱和线性谱反演结果的对比(表4)可知,线性谱和非线性谱反演结果的相对误差、偏差和均方根误差均表现出在0~500 m水深更低,但非线性谱相对误差的提升程度在500~5 500 m水深更高。表明虽然两种谱在浅水区的反演精度均高于深水区,但在深水区,非线性谱的精度提升更明显。
表4 在不同水深区间线性谱与非线性谱反演结果比较

Tab.4 Comparison of results between linear and nonlinear spectrum inversion results for different water depth intervals

水深/m 相对误差/m 非线性谱相对误差
提升程度/%
偏差/m 标准差/m 均方根误差/m
线性谱 非线性谱 线性谱 非线性谱 线性谱 非线性谱 线性谱 非线性谱
0~500 0.146 9 0.133 3 9.26 -0.002 0 -0.000 8 0.002 5 0.002 7 0.003 2 0.002 9
500~5 500 0.155 5 0.136 4 12.28 -0.002 7 -0.001 4 0.003 0 0.003 1 0.004 1 0.003 4

4 结论

本文基于JONSWAP线性谱和加入三阶Stokes波近似解的非线性谱,利用70个NDBC浮标站点的实测数据,对非线性谱相较于线性谱的优势进行了评估,主要结论如下。
1)在相对误差与绝对误差方面,非线性谱反演结果的平均提升程度均超过10%,其中相对误差与绝对误差的最大提升程度分别达到22.29%和28.54%。当单独计算波高大于3 m的情况时,非线性谱的提升程度约为全部波高结果的2倍。说明非线性谱相较于线性谱反演精度更高,尤其在波高较大时。
2)分析波高、风速及风向和波向间的夹角对非线性谱提升程度的影响发现:随着波高的增加,非线性谱的提升程度能够从小于10%增长到30%左右,波高大于3 m后,提升程度的增长速率明显加快;随着风速的增加,线性谱的提升程度也在增加;风向和波向间的夹角越小,线性谱的提升程度越大。风速对于提升程度的影响远大于夹角对其的影响,风速对于提升程度的影响区间在10%~100%之间,而夹角的影响区间局限在20%以内。
3)分析两种海浪谱反演精度与水深的关系可知:两种海浪谱的反演精度均在500 m以浅水深更高,但是在500~5 500 m水深,非线性谱相对于线性谱提升程度更大。
[1]
DURRANT T H, GREENSLADE D J M, SIMMONDS I. Validation of Jason-1 and envisat remotely sensed wave heights[J]. Journal of Atmospheric and Oceanic Tech-nology, 2009, 26(1): 123-134.

[2]
HELMREICH S. Reading a wave buoy[J]. Science, Technology, & Human Values, 2019, 44(5): 737-761.

[3]
LE ROUX J P. An extension of the Airy theory for linear waves into shallow water[J]. Coastal Engineering, 2008, 55(4): 295-301.

[4]
刘红军, 杨奇. 不同波浪理论下风机支撑系统的动力响应[J]. 哈尔滨工程大学学报, 2018, 39(4):668-673.

LIU H J, YANG Q. Dynamic response of wind turbine supporting system under different wave theories[J]. Journal of Harbin Engineering University, 2018, 39(4): 668-673.

[5]
STOKES G G. Supplement to a paper on the theory of oscillatory waves[M]//Mathematical and physical papers. Cambridge: Cambridge University Press, 1980: 197-229.

[6]
LONGUET-HIGGINS M S. The effect of non-linearities on statistical distributions in the theory of sea waves[J]. Journal of Fluid Mechanics, 1963, 17(3): 459-480.

[7]
HASSELMANN K, MUNK W, MACDONALD G J F. Bispectra of ocean waves[C]//Symposium on time series analysis. New York, 1963: 125-139.

[8]
PIERSON JR W J, MOSKOWITZ L. A proposed spectral form for fully developed wind seas based on the similarity theory of S. A. Kitaigorodskii[J]. Journal of Geophysical Research, 1964, 69(24): 5181-5190.

[9]
HASSELMANN K, BARNETT T P, BOUWS E, et al. Measurements of wind-wave growth and swell decay during the Joint North Sea Wave Project (JONSWAP)[M]. [S.l.]: Deutschen Hydrographischen Zeitschrift, 1973.

[10]
HASSELMANN D E, DUNCKEL M, EWING J A. Directional wave spectra observed during JONSWAP 1973[J]. Journal of Physical Oceanography, 1980, 10(8): 1264-1280.

[11]
MITSUYASU H, TASAI F, SUHARA T, et al. Observation of the power spectrum of ocean waves using a cloverleaf buoy[J]. Journal of Physical Oceanography, 1980, 10(2): 286-296.

[12]
YOUNG I R. Observations of the spectra of hurricane generated waves[J]. Ocean Engineering, 1998, 25(4/5): 261-276.

[13]
GODA Y. A comparative review on the functional forms of directional wave spectrum[J]. Coastal Engineering Journal, 1999, 41(1): 1-20.

[14]
XIA W D, MA Y X, DONG G H. Numerical simulation of freak waves in random sea state[J]. Procedia Engineering, 2015, 116: 366-372.

[15]
ZOU L, WANG A M, WANG Z, et al. Experimental study of freak waves due to three-dimensional island terrain in random wave[J]. Acta Oceanologica Sinica, 2019, 38(6): 92-99.

[16]
沈正, 宋曙光, 王伟. 深水斯托克斯波的一种近似解析解[J]. 海洋学报, 1993, 15(3):7-13.

SHEN Z, SONG S G, WANG W. An approximate analytical solution of Stokes wave in deep water[J]. Acta Oceanologica Sinica, 1993, 15(3): 7-13.

[17]
薛亚东, 西文韬, 石爱国, 等. 基于三阶斯托克斯波的谱估计及海浪数值模拟研究[J]. 海洋科学, 2017, 41(6):92-97.

XUE Y D, XI W T, SHI A G, et al. Spectral estimation and numerical simulation based on third-order Stokes Waves[J]. Marine Sciences, 2017, 41(6): 92-97.

[18]
ZIEGER S, VINOTH J, YOUNG I R. Joint calibration of multiplatform altimeter measurements of wind speed and wave height over the past 20 years[J]. Journal of Atmospheric and Oceanic Technology, 2009, 26(12): 2549-2564.

[19]
WANG J C, ZHANG J, YANG J G. The validation of HY-2 altimeter measurements of a significant wave height based on buoy data[J]. Acta Oceanologica Sinica, 2013, 32(11): 87-90.

[20]
CHEN C T, ZHU J H, LIN M S, et al. The validation of the significant wave height product of HY-2 altimeter-primary results[J]. Acta Oceanologica Sinica, 2013, 32(11): 82-86.

[21]
SHAEB K H B, ANAND A, JOSHI A K, et al. Compa-rison of near coastal significant wave height measurements from SARAL/AltiKa with wave rider buoys in the Indian Region[J]. Marine Geodesy, 2015, 38(sup1): 422-436.

[22]
YE J, WAN Y, DAI Y S. Quality evaluation and calibra-tion of the SWIM significant wave height product with buoy data[J]. Acta Oceanologica Sinica, 2021, 40(10): 187-196.

[23]
WANG Y H, WANG D X, DONG S. Theoretical study on arranging heaving wave energy converters in front of jarlan-type breakwater[J]. Ocean Engineering, 2022, 248: 110850.

[24]
HSU J R C, TSUCHIYA Y, SILVESTER R. Third-order approximation to short-crested waves[J]. Journal of Fluid Mechanics, 1979, 90(1): 179-196.

[25]
SONG Z Y, ZHAO H J, LI L, et al. On the universal third order Stokes wave solution[J]. Science China Earth Sciences, 2013, 56(1): 102-114.

[26]
TSUCHIYA Y, YASUDA T. A new approach to Stokes wave theory[J]. Bulletin of the Disaster Prevention Research Institute, 1981, 31(1): 17-34.

[27]
ZHAO K F, LIU P L. On Stokes wave solutions[J]. Proceedings of the Royal Society A: Mathematical, Physical and Engineering Sciences, 2022, 478(2258): 20210732.

[28]
YANG J G, ZHANG J. Validation of sentinel-3A/3B satellite altimetry wave heights with buoy and Jason-3 data[J]. Sensors, 2019, 19(13): 2914.

Outlines

/