Research progress on the mechanism of sedimentary carbon sink in delta-shelf systems

  • FAN Daidu , 1 ,
  • ZHANG Qiaowen 1 ,
  • WU Yijing 1 ,
  • SU Jianfeng 2 ,
  • WEI Bingbing 1 ,
  • NI Sha 3
Expand
  • 1. State Key Laboratory of Marine Geology, Tongji University, Shanghai 200092, China
  • 2. Ecological Environment Monitoring and Scientific Research Center, Taihu Basin & East China Sea Ecological Environment Supervision and Administration Bureau, Ministry of Ecology and Environment, Shanghai 200125, China
  • 3. Department of Geoscience, Aarhus University, Aarhus 8000, Denmark

Received date: 2025-11-05

  Revised date: 2025-12-01

  Online published: 2026-02-09

Abstract

The sediment source-to-sink system serves as a critical link connecting active carbon pools (e.g., atmosphere, biosphere, hydrosphere) with the stable lithospheric carbon pool, playing a core buffering role in the global carbon cycle. As the core area of marine sedimentary carbon sinks, delta-shelf regions account for over 80% of the global marine sedimentary organic carbon flux while occupying less than 8% of the global ocean area. The processes and mechanisms of carbon burial in these regions are crucial for global carbon balance. This paper systematically reviews the source composition and sedimentary flux characteristics of terrestrial organic carbon in delta-shelf sedimentary systems, focuses on elaborating organic carbon source-to-sink tracing technologies, remineralization processes and their dominant mechanisms, analyzes the impacts of human activities on sedimentary carbon sinks, and discusses marine negative emission and carbon sequestration enhancement schemes based on sediment management. Studies show that the heterogeneity of terrestrial organic carbon, physicochemical conditions of the sedimentary environment, and human disturbance collectively regulate the migration, transformation, and burial efficiency of organic carbon. Currently, the potential of sedimentary carbon sinks has not been fully exploited; thus, it is urgent to promote the integration of sedimentary carbon sinks into the global climate governance system through methodological innovation, mechanism deepening, and technological development, so as to provide scientific support and feasible paths for achieving the temperature control goals of the Paris Agreement.

Cite this article

FAN Daidu , ZHANG Qiaowen , WU Yijing , SU Jianfeng , WEI Bingbing , NI Sha . Research progress on the mechanism of sedimentary carbon sink in delta-shelf systems[J]. Journal of Marine Sciences, 2025 , 43(4) : 3 -20 . DOI: 10.3969/j.issn.1001-909X.2025.04.001

0 引言

沉积物源汇系统是碳循环的关键纽带,连接着大气圈、生物圈、水圈等活跃碳库与岩石圈稳定碳库。它贯穿陆地表层系统并延伸至大陆边缘和深海环境,是沉积物侵蚀、搬运与沉积过程的主要发生地,通过调控碳的迁移、转化与埋藏,实现不同碳库间的物质交换,对全球碳平衡起到缓冲器作用[1-3]。该系统以造山带岩石有机碳的氧化作用与海洋沉积物中有机碳埋藏为两大核心过程,在数千至数百万年的地质时间尺度上实现二氧化碳(CO2)在岩石圈与大气圈的循环转移,从而对全球大气CO2含量、氧气水平及气候的长期演变发挥重要的调控作用[2,4-6]
海洋沉积物中有机碳的年均沉积通量约为160 Tg·a-1,其中约90%集中于大陆边缘区域。三角洲及邻近陆架区因其高沉积速率成为全球有机碳埋藏的热点,虽仅占全球海洋面积的不足8%,却贡献了80%以上的全球海洋沉积有机碳通量,是仅次于陆地硅酸盐风化作用的第二大大气CO2[3,7-8]。陆地通过河流每年向海洋输入约450 Tg的有机碳(organic carbon,OC),其中溶解态有机碳(dissolved organic carbon,DOC)通量约250 Tg·a-1,略高于颗粒态有机碳(particulate organic carbon,POC)通量(约200 Tg·a-1)[9]。入海后,陆源DOC快速被矿化为溶解无机碳(dissolved inorganic carbon,DIC)或转化为惰性溶解有机碳(refractory dissolved organic carbon,RDOC)等,陆源POC也仅有部分进入海洋沉积物并经埋藏参与更长时间尺度的碳循环。因此,厘清陆源有机碳(OCterr)在海洋环境的周转路径与通量成为海洋碳循环研究的热点,“陆源有机碳在海洋的丢失之谜”假说应运而生[10-11]。由于大量OCterr在河口及邻近陆架海发生再矿化作用,部分以CO2形式释放到大气,进而引发“高生产力的河口及邻近海域是大气CO2的源而不是汇”的悖论,该悖论成为全球碳循环研究的重要科学难题[12]
河流有机碳的来源多样性决定了其在碳循环中迁移与转化路径的复杂性。DOC多以数十年尺度的年轻碳为主,循环速度快;而POC作为可长期埋藏并参与地质尺度碳循环的核心组分,表现为不同来源、年龄和反应活性高度异质的混合物[1,8,13]。POC既包括近期光合作用固定的现代生物碳,也包含储存数千年的预陈化土壤有机碳(pre-aged soil OC),二者统称生物圈有机碳(biospheric OC)[14]。此外,河流还承载着大量来自岩石物理剥蚀的难降解古老岩石有机碳(ancient petrogenic OC),多以干酪根或石墨形式存在。不同类型的有机碳沿着差异化的路径和时间尺度参与碳循环,使被动大陆边缘与活动大陆边缘沉积物源汇系统在有机碳运移路径和埋藏效率上呈现显著差异:前者主要依赖水下三角洲的快速埋藏,后者则受沉积事件驱动的快速搬运强烈影响。这些差异不仅影响短期大气CO2变化,也为解读地质时期碳循环、环境变化及油气资源评价提供了关键依据[1,11,15]
当前,全球气候治理正在从科学共识阶段迈入付诸行动阶段[16]。尽管减排仍是应对气候变化的核心手段,但联合国政府间气候变化专门委员会(IPCC)指出,仅靠减排已无法实现《巴黎协定》提出的1.5~2.0 ℃温控目标,必须辅以大规模、可验证的碳移除(carbon dioxide removal,CDR)举措[17]。然而,现有CDR技术方法尚处在早期探索的不成熟阶段,因此基于自然过程的增汇方案被提上日程,引起世界各国广泛关注,我国科学家提出的海洋负排放计划(ocean negative carbon emission,ONCE)便是其中代表[16]。沉积物作为有机碳的动态、长期储库,可通过有机质埋藏与稳定化以减缓CO2排放,是行之有效的自然碳汇方案,但这一关键功能尚未被纳入气候减缓战略[3]。本综述以三角洲-陆架沉积体系为核心研究对象,重点论述其作为海洋沉积碳汇核心区的OCterr循环过程、沉积通量变化及主控机制等理论研究进展,并进一步总结与展望海洋沉积有机碳增汇的理论基础和潜在路径。

1 三角洲-陆架沉积体系有机碳来源及沉积通量

河流年均携带约200 Tg 的POC入海[5,18-19],其中55%~80%在大陆边缘通过微生物降解和化学氧化等作用发生再矿化,短周期内转化为无机碳并释放溶解态营养盐[1,7];另有一小部分转化为RDOC输送至大洋中深层水体,进入到千年尺度的碳循环;其余部分则与海洋初级生产力形成的少量POC一起沉降到海底,最终埋藏于海洋沉积物中,参与地质尺度的碳循环。陆源有机质入海后的降解与沉积作用主要发生在河口及邻近海域,这不仅使三角洲和陆架成为海洋沉积有机碳(sedimentary organic carbon,SOC)的汇聚中心(占全球海洋SOC的80%以上),还因大量有机质再矿化改变了该区域海气CO2交换格局,尤其是中低纬陆架海成为大气CO2的净源[9,11,20-21]。鉴于河流源OC的异质性及其参与的碳循环时间尺度差异,GALY等[13]根据有机质的双碳同位素组成特征,将河流源OC划分为生物圈和岩石圈两种来源,二者对入海POC通量的贡献分别为157 Tg·a-1和43 Tg·a-1
传统上,对陆地和海洋生态系统碳收支的评估多为独立核算,忽视了陆地-海洋水生连续体(land-to-ocean aquatic continuum,LOAC)碳循环过程的复杂性。假定碳从河流输送到海洋是“管道式”的,即运输过程中无碳的保存和释放,这导致部分全球碳收支计算结果不够理想,也难以准确评估全球变化和人类活动对LOAC碳循环过程及通量变化的影响[22]。新的LOAC循环模型包含两个短程循环(图1):陆域短程循环涵盖陆地生态系统和内陆水域(湖泊、河流及水库等),海域短程循环包括河口与海岸湿地、三角洲与陆架海、开阔大洋(水深超过200 m),二者组合成一个长程循环。通过综合分析100项关于LOAC不同组成单元的单独研究结果,运用质量平衡方法计算发现,工业化前陆地生态系统每年吸收大气CO2并输运到海洋或者释放回大气中的碳总量为650 Tg·a-1(图1)。人类活动加速了陆地生态系统、内陆水域和大气之间的碳循环,同时减少了河口与海岸湿地对大气CO2的吸收。若忽视这些动态变化的LOAC碳通量,会导致陆地生态系统碳汇通量每年被高估600 Tg,且低估沉积物和海洋碳汇通量[22]
图1 综合考虑了陆地-海洋水生连续体(LOAC)碳循环通量的全球碳收支

(图件改绘自文献[22]。图中黑色数字为现代碳循环通量估算值,红色数字是现代碳循环通量与工业革命前对应值对比的结果,+(-)分别代表增加或减少。)

Fig.1 The global carbon budget incorporating carbon cycle fluxes of the land-to-ocean aquatic continuum (LOAC)

(The figure is redrawn from reference [22]. The black numbers in the figure represent the estimated values of modern carbon cycle fluxes, while the red numbers represent the comparison results between modern carbon cycle fluxes and their corresponding values before the Industrial Revolution. The symbols “+” and “-” indicate an increase and a decrease, respectively.)

LOAC循环模型明确量化了各碳库之间总碳及不同形态碳(DIC、DOC、POC)的交换通量(图1)。现阶段,内陆水域通过径流和地下水向河口排放的碳通量为950±150 Tg·a-1,其中DIC、DOC和POC通量分别为440±140 Tg·a-1、290±60 Tg·a-1和220±50 Tg·a-1,POC通量与前人估算的200 Tg·a-1相近[13,22]。尽管峡湾和海岸湿地面积很小,但其单位面积POC沉积通量极高,合计贡献100±50 Tg·a-1;该估算值已考虑人类活动导致近期海岸湿地面积大幅减少的影响,相较自然状态减少了50±50 Tg·a-1(图1)。大河三角洲和陆架的沉积碳汇通量为300±100 Tg·a-1,其中POC和PIC分别贡献120±70 Tg·a-1和180±80 Tg·a-1。开阔大洋的沉积碳汇通量为150±50 Tg·a-1,其中POC和PIC分别贡献40±20 Tg·a-1和110±25 Tg·a-1[22]
中国海总面积约470万平方公里, POC的年沉积通量达20.49 Tg·a-1[23]。其中,渤海、黄海和东海的POC沉积通量分别为2.00 Tg·a-1、3.60 Tg·a-1和7.40 Tg·a-1,合计13.00 Tg·a-1,占全球边缘海POC沉积通量的约10%,凸显中国近海在全球碳循环中的重要地位[23-25]。石学法等[26]利用5 796个站位沉积物的POC含量及相关地球化学、沉积学参数,基于沉积物收支计算发现,渤海、黄海和东海的POC沉积主要集中于七大泥质区,近百年来POC埋藏通量平均为8.20 Tg·a-1,且以生源有机碳为主,其埋藏通量达6.92 Tg·a-1,表明中国近海沉积体系具有显著的自然碳汇功能[16,26]

2 陆源有机碳源汇过程示踪与再矿化作用

2.1 陆源有机碳源汇过程示踪

POC在沉积物源汇系统中经历复杂的搬运、混合、再矿化和沉积过程,其组成类型、含量及性质均会发生显著变化。由于来源差异,POC的年龄和反应活性各不相同,再矿化程度与效率也存在显著差异,进而对从短期到地质时间尺度的碳循环过程产生重要影响(图2)。POC一部分来源于近期通过光合作用固定的现代有机碳,主要包括陆生维管植物碎片(如树叶、木材、花粉)、淡水和海洋藻类残骸以及异养生物再循环的有机质;另一部分来自土壤侵蚀输入,是部分初级生产力在土壤和沉积物中储存数千年后,经生物地球化学变化和老化形成的预陈化土壤有机碳,这两部分统称为生物圈有机碳[14]。此外,沉积物中还广泛存在来源于流域内出露岩石经物理剥蚀的古老有机碳,其年龄远大于14C测年上限,被称为古老岩石有机碳;它是地质历史时期(通常为数百万年前)光合生物固定的有机质,埋藏于陆地或海洋沉积物中并与矿物颗粒一起岩化而成,如沉积岩中的干酪根或变质岩中的石墨[1,5]。尽管岩石有机碳的活性被认为很低,但近期研究发现,其在沉积物源汇系统搬运过程中也会发生不同程度的氧化和降解,成为大气CO2的源[27-28]
图2 沉积物源汇系统中有机碳来源、沿程变化及影响机制

Fig.2 Sources,along route variations, and influencing mechanisms of organic carbon in the sediment source-to-sink system

研究OCterr再矿化作用,首先要准确识别河流入海前POC的端元特征,再结合海洋源POC的端元组成特征,运用端元混合模型定量研究不同源OCterr入海后的沿程变化规律与选择性再矿化机制;其次可通过质量平衡法或特征参数,计算局部OCterr的再矿化效率、保存效率或二者的区域平均值,从而约束源汇体系中有机碳的分配。
有机质研究已由早期的总有机碳分析发展到现今的单体分子水平。早期研究主要通过测定悬浮物或沉积物中的OC含量、C/N和δ13C来判别海源与陆源OC[10,29-30],并借助端元模型计算二者的贡献率,但受总有机碳参数指示意义不确定性的限制,难以开展精细的有机碳来源示踪和混合定量分析。生物标志物具有结构稳定、母源信息确定等优势,已被广泛运用于有机碳来源和时空分布规律的示踪研究,包括正构烷烃、甾醇类、木质素、四醚膜酯质等,同时基于陆源与海源生物标志物的特征组成或比值,提出了碳优势指数(carbon preference index,CPI)、正构烷烃/醇平均链长(average chain length of n-alkanes or n-alkanols,ACL)、支链与类异戊二烯四醚指数(branched and isoprenoid tetraether index,BIT)、陆源与海洋生物标志物比值(terrestrial and marine biomarker ratio,TMBR)等指标[10,30-35]
随着放射性碳同位素测试技术的发展,其在有机碳来源、输运和分布格局研究中的应用日益广泛,具体方法包括沉积物全样或分粒级14C测试[28,34,36-38]、全样梯级热解法分解为不同温度区间组分后的14C测试[39-41]以及单体分子14C测试[38,42-43]。不同方法各有优劣:总有机碳14C测试获取的信息不够清晰;单体分子14C测试的前处理极为复杂,且任何一种生物标志物占总有机碳的比例均不高[11];而全样梯级热解法14C测试无需复杂前处理,包含的信息更全面,因此被推荐运用于有机碳源汇过程研究,尤其适用于复杂大河三角洲-陆架沉积体系的有机碳示踪、动力分选与保存机制的研究[39-41]
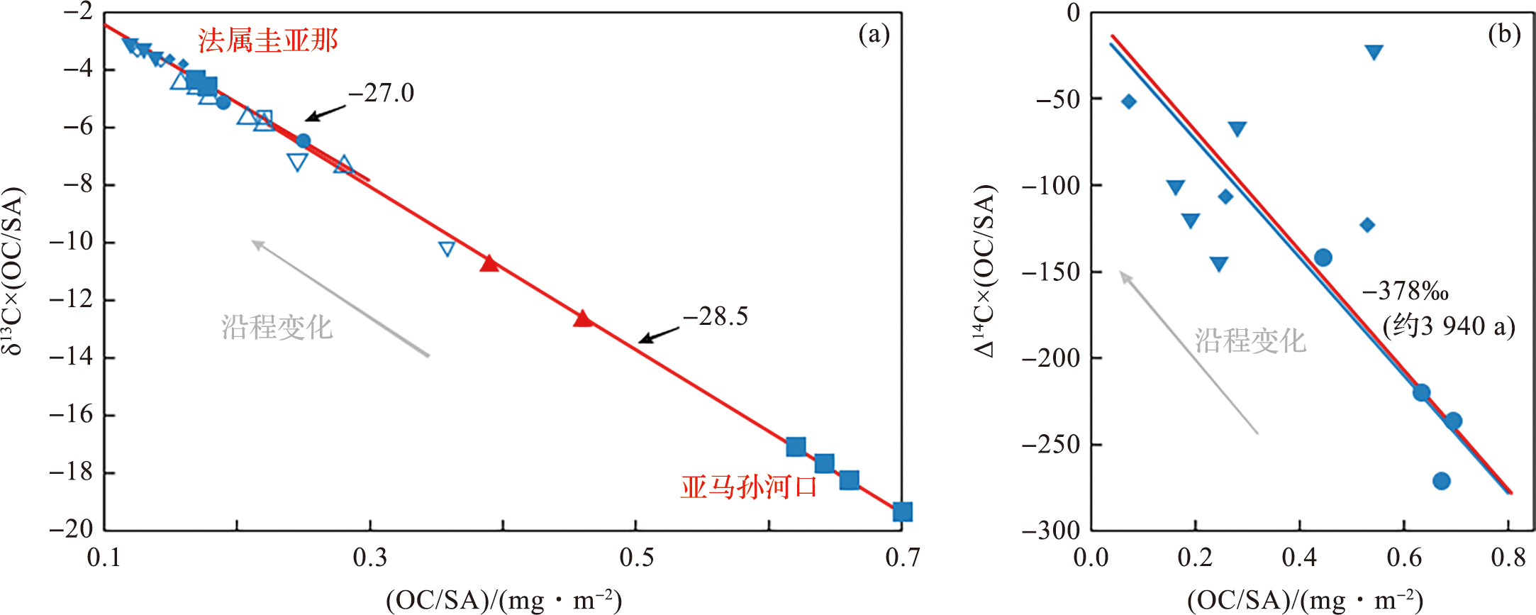
运用双碳同位素与OC/SA(沉积物中有机碳含量/比表面积)参数,可进一步示踪沉积物输运过程中有机碳的降解与置换关系。亚马孙河流沉积物入海后,约20%随沿岸流向北搬运,形成长1 600余公里的泥质带,分布于圭亚那岸外浅水区。顺沿岸流搬运方向,OC/SA比值不断减小,表明与黏土矿物结合的有机质持续降解丢失(图3);δ13C值不断增大,反映部分陆源OC矿化后,有新的海源OC结合到黏土矿物上;这与沿程Δ14C值不断变正的规律一致,即陆源OC年龄通常大于海源OC,后者置换前者导致OC年龄变小,体现在Δ14C值增大[11]。借助双碳同位素的三端元模型,可定量得出沉积物中现代生源OC、预陈化土壤OC和古老岩石OC的各自贡献量,精细示踪它们入海后的沿程差异降解和再矿化过程,更准确地研究三种陆源OC组分对不同时间尺度碳循环的影响[8,43]
图3 亚马孙河口-圭亚那近岸沉积体系中单位比表面积有机碳含量(OC/SA)与δ13C (a) 和Δ14C (b)的关系

(图件改绘自文献[11]。)

Fig.3 The relationship between OC/SA and δ13C (a) and Δ14C (b) along the Amazon-Guianas dispersal system

(The figure is redrawn from reference [11].)

2.2 陆源有机碳再矿化作用

沉积物源汇系统可视为由多个相互耦合的生物地球化学反应器构成的网络,在其中OC持续发生循环转化,且与沉积物的生成、搬运和沉积过程密切相关[1]。土壤和表层沉积物是主要的反应器,当地初级生产力和上游输入的OC在此混合、降解和老化。子系统中有机质的降解程度取决于OC类型、反应活性及在子系统反应器中的停留时间等因素,这也决定了向下游子系统输出OC的数量、组成和反应活性等特征。
由于对多个时间尺度的全球碳循环具有重要影响,海洋中OCterr的输运、沉积与再矿化作用引发学术界广泛关注,相关研究最早可追溯到20世纪30年代[44],并在90年代掀起研究高潮,期间提出了著名的“陆源有机碳在海洋的丢失之谜”科学假说[10],成为后续多个国际研究计划的核心内容,包括LOAC计划 (Land-to-Ocean Aquatic Continuum Program)、LDE计划 (Large-river Delta-front Estuaries Program)和RiOMars计划(River-dominated Ocean Margins Program) 等[22,45-46]
除受有机质自身降解难易程度影响外,海洋中OC保存率与暴露于氧化剂的程度密切相关,即显著受海洋沉积环境含氧量和暴露时长等因素调控(图4)。在含氧量正常的海洋沉积环境中,OC保存率与沉积速率呈强相关,因为快速搬运与堆积可以减少OC与氧化剂的接触时长,从而抑制再矿化过程,提高有机碳的保存效率[1,11]
图4 海洋环境有机碳保存率与沉积速率、环境含氧量的关系

(图件改绘自文献[11]。)

Fig.4 The relationship between OC preservation rates and sedimentation rates and dissolved oxygen abundance in the marine environments

(The figure is redrawn from reference [11].)

大河三角洲及邻近陆架海是OCterr再矿化作用最强烈的关键区域。据统计,世界上最大的25条河流每年向海洋输入的悬沙约占全球的40%、淡水约占全球的50%,高海洋初级生产力和沉积速率使河控大陆边缘成为海洋最重要的碳汇中心[4,7,22,46]。但大河三角洲因水深较浅、水动力强劲,沉积物极易再悬浮并发生多期次搬运-再沉积作用,常发育厚度数厘米至数米的移动泥(图4),其中的氧化和次氧化作用使有机质极易发生分解再矿化,因此被称为有机质的“焚烧炉”[47]。移动泥的有机质再矿化作用在亚马孙河口、飞河三角洲、密西西比三角洲等区域已有深入研究,这些地区OC/SA比值通常小于0.4 mg·m-2,明显低于受河流影响较小的其他陆架浅水区(0.4~1.0 mg·m-2),导致其OC保存率偏离正常海洋环境中与沉积速率的良好线性增长关系,且远低于小河流或浊流主导的海洋高速沉积体(图4)[11,46-47]

2.3 陆源有机碳再矿化效率或埋藏效率

POC降解和再矿化作用可发生在搬运、侵蚀-再沉积旋回及沉积后的早期成岩作用等过程中(图5),示踪这些过程中POC类型、成分和含量的变化,是研究再矿化作用的主要手段。目前,大陆边缘有机碳再矿化效率(remineralization efficiency,RE)或埋藏效率(burial efficiency,BE)的计算方法多样,可归纳为以下五个方面。
图5 河口及邻近海域有机质输运、沉降、再矿化效应及早期成岩作用示意图

(图件改绘自文献[28,47,50]。)

Fig.5 Schematic diagram of organic matter transport, deposition, remineralization effect, and early diagenesis in estuaries and adjacent marine areas

(The figure is redrawn from references [28,47,50].)

(a)研究区域年均OCterr沉积或埋藏通量与河流年均输入POC通量的比值:OCterr埋藏效率的严格定义是,经早期成岩作用之后,OCterr含量趋于稳定,取相应层位OCterr含量乘以百年尺度平均沉积速率、沉积物平均干容重和区域面积,计算得到OCterr埋藏通量(burial flux)。但由于该类数据获取难度大,多数现有研究采用表层数厘米的OCterr含量计算沉积通量(depositional/deliver flux),其与OCterr埋藏通量因早期成岩作用可能存在约20%的差异[4]。通过不同方法,BURDIGE[7]计算得出全球大陆边缘OCterr保存率为9%~17%,约为BLAIR等[11]估算值(20%~44%)的一半(表1),但二者均比海洋源OC的保存率(0.25%~1.3%)高一个数量级,后者的计算方式为研究区域年均海洋初级生产力总和除以海洋沉积有机碳(∑SOC)中的海洋源OC占比[11]。采用相同方法,DENG等[48]估算东海陆架OCterr保存率为10%,而ZHAO等[49]的估算值为23%,后者估算的黄海陆架OCterr保存率更是高达68%(表1)。
表1 大陆边缘陆源有机碳埋藏效率计算方法与结果

Tab.1 Calculation methods and results of burial efficiency of terrigenous organic carbon in continental margins

研究区 计算方法 保存率 参考文献
全球性 (∑SOC×OCterr%)/∑OCterr 9%~17% 文献[7]
全球性 埋藏通量/沉积通量 20%~44% 文献[11]
东海陆架 沉积总量/河流输入总量 10% 文献[48]
东海陆架 沉积总量/河流输入总量 23% 文献[49]
黄海陆架 沉积总量/河流输入总量 68% 文献[49]
亚马孙河口 OC/SA比较 30%~52% 文献[51]
飞河三角洲 OC/SA比较 43% 文献[47]
东海内陆架 OC/SA比较 24.7% 文献[34]
东海外陆架 OC/SA比较 10.7% 文献[34]
东海陆架 OC/SA比较 16% 文献[49]
黄海陆架 OC/SA比较 76% 文献[49]
南黄海柱状样 OC/SA比较 97% 文献[38]
(b)海洋沉积物OC/SA平均值与河流入海口悬浮物对应值的对比:使用该方法计算得到的亚马孙河口和飞河水下三角洲的OCterr保存率分别为30%~52%[51]和43%[47];WU等[34]分别计算了东海内陆架泥质区和外陆架砂质区的OCterr保存率,前者(24.7%)是后者(10.7%)的两倍多;ZHAO等[49]未区分东海陆架砂质区和泥质区,给出的OCterr保存率为16%,介于WU等[34]的两个计算值之间(表1)。ZHAO等[49]还计算出南黄海陆架的OCterr保存率高达76%;而YU等[38]基于南黄海中部泥质区的短柱样数据,计算得到的OCterr保存率超过97%。这可能与黄河源OCterr较古老、难降解的特性以及南黄海中部冷水团低温、低氧的环境条件均有利于OCterr保存有关。
(c)沉积后早期成岩作用有机质再矿化的现场观测与室内培养实验:由于现场观测难度较大,通常采取短柱状沉积物样进行室内培养实验,可分别基于O2消耗速率和CO2产生速率计算有机碳再矿化效率[52-53]
(d)理论模型计算方法:水柱或沉积地层中有机质的降解被认为符合幂律(power-law)分布,对于有准确定年的钻孔或柱状样,可用G模式(one-G或multi-G models)计算OC保存率[54-56]。HUTCHINGS等[57]收集了美国所有河口有210Pb定年的短柱样数据,利用Tromp模式[56]计算沉积后的再矿化效率,得出美国河口OCterr平均保存率为34%~42%。
(e)数值模拟:目前已有部分数值模型用于模拟计算从水体表层至海底床面沉积过程中有机质的保存效率,且在深海沉积有机质保存研究中取得了良好效果。通过局部网格加密,并耦合更加复杂的水动力和生物地球化学作用机制,可实现对陆架海沉积有机质的较好模拟[58]。但陆架海有机质的多源性(尤其是OCterr输入量最大),且水动力等环境条件变化显著,导致OC再矿化率的时空变化明显,如何改进模型以提高模拟结果与实测值的拟合度,仍是今后研究的主要挑战[21-22]
总体而言,有机碳源汇示踪方法以及沉积与埋藏过程中有机质再矿化效率的计算方法均已取得较好发展,学界对大陆边缘复杂海洋环境下多源有机质的输运、沉积和埋藏机制已有较深入的认识。但受三角洲-陆架环境复杂性和研究方法多样性的影响,不同研究结果的可对比性存在一定问题(表1)。此外,尽管学者们普遍认同OCterr埋藏效率是指经过搬运-沉积-早期成岩作用等主要降解与再矿化过程后,剩余OCterr含量与河流源入海初始值的比值,但多数研究仅涉及部分过程。目前,针对海底表层沉积有机质保存效率的研究较多,少数研究关注短柱样沉积有机质经早期成岩作用的再矿化过程,且往往未覆盖硫酸盐-甲烷转换带(sulfate-methane transition zone,SMTZ)之下的OC稳定保存层位。针对这些问题,亟需选择具有代表性的研究区域,制定学科交叉且统一的研究方案,开展多时空尺度OCterr再矿化作用、保存效率和埋藏效率的对比研究,以建立更具普适性的OCterr再矿化效率和埋藏通量方法学新范式。

3 大陆边缘陆源有机碳循环过程与再矿化的主控机制

影响入海后OCterr再矿化的因素众多,主要包括河流输出端OCterr通量、类型和分子结构,输运-沉积过程和埋藏后早期成岩作用的物理、化学和(微)生物条件,以及差异沉降、选择性吸附与降解、激化效应(priming effect)和沉积速率等(图4图5)。这些因素是交互影响、协同作用的,最终导致OCterr从入海开始至埋藏后所经历的不同形式降解途径,其埋藏效率也因地而异。

3.1 河流源POC输入变化

河流输入的有机质类型和通量,受流域地质地貌、气候条件、植被类型、第四纪沉积背景、土壤特征及近期人类活动等多种因素共同影响。基于Δ14C分析结果表明,山溪型小河流通常携带更多古老岩石OC入海,而大型河流输入的POC组成更为复杂[11,13,15]。中下游河漫滩沉积对生物源有机质有重要调控作用,粗颗粒POC通常较年轻,而细颗粒POC往往经历了较长时间的土壤预陈化作用,年龄偏大[59]。悬浮沉积物中,黄河口POC的年龄(4.10~8.04 ka)要比长江口POC的年龄(0.80~1.06 ka)大得多[60-61],且二者的δ13C存在一定差异,因此可通过双碳同位素方法有效示踪黄海、东海陆源POC的混合作用[60]
近期,流域受人类活动的影响尤为显著,尤其是水库建设,导致全球河流入海泥沙和POC通量均明显下降。长江受三峡大坝等水库建设的影响,POC入海通量已由1952—1986年的均值10.9±2.6 Mt·a-1,降至2003—2008年的均值1.9±1.0 Mt·a-1 [62]。受大坝拦截作用,长江下游POC中古老岩石OC的占比有所下降,而年轻生物源OC的占比则相应增加[63]。基于双碳同位素端元模型计算得出,2009—2010年间,长江下游POC组成中,35%~38%来自现代有机质,41%~47%来自预陈化土壤OC,18%~21%为古老岩石OC[63]。这些变化将对河流源POC在海域的再矿化和埋藏作用产生深远影响。

3.2 入海后陆源POC选择性吸附、沉降和再矿化作用

入海后河流源POC的再矿化受多种复杂环境因素调控,其中沉积速率对POC埋藏效率起关键作用(图4)。快速沉积与埋藏可以缩短有机质与氧气等氧化剂的接触时间,从而降低其在水体或移动泥搬运阶段被氧化降解的概率[11,64]。入海后,大部分有机质会与矿物质一起快速沉积在河口附近,其中吸附和絮凝作用对POC保护起重要作用,但再悬浮和解吸作用会使POC易遭受破坏和降解。有机质因与黏土矿物的结合程度及比重差异,呈现出截然不同的迁移命运:伊利石和绿泥石比重较大,会率先沉降,且以结合比较牢固的岩石有机碳为主;高岭石与蒙脱石比重较轻,可搬运更远距离,二者比重相近,但高岭石因粒径较大而先于蒙脱石发生沉降[65]。此外,蒙脱石属2∶1型层状硅酸盐矿物,层间靠范德华力结合有机质的力度较弱,入海后陆源有机质易流失,随后会与年轻的海源有机质结合[50,66]
受差异性沉降、水动力分选和选择性降解等因素影响,总有机碳和生物标志物组成及特征参数会沿沉积物输运方向发生有序变化(图3):年轻、易降解的陆源有机质成分沿程快速减少,而难降解的木质素和古老岩石OC的相对含量沿程却逐渐增加[11,25,29,31-34]。通过对分粒级或密度组分进行生物标志物或单体同位素分析,可以更深入地揭示沉积动力和矿物性质对有机质选择性搬运、降解与保护的控制机理[36,67-70]。例如,研究发现陆架沉积物中20~63 mm粒级组分的14C年龄比其他组分更老,这是因为该细颗粒组分通常以单颗粒形式运动,在强动力陆架环境中极为活跃,是移动泥的主体,经历多次再悬浮-沉积旋回和长距离搬运后,易降解的年轻有机碳沿程快速减少,导致沉积有机碳的14C年龄逐渐增大[36,69]

3.3 早期成岩作用下的有机碳再矿化及影响因素

有机质沉积后至浅埋藏早期,仍会受到早期成岩作用的分解与改造。在相对稳态的沉积环境中,按照吉布斯自由能递减原则,有机质矿化会依次经历有氧氧化、次氧化(反硝化、锰铁氧化物还原)、硫酸盐还原和甲烷厌氧氧化等过程,其中硫酸盐还原是有机质矿化的最主要途径,在河控大陆边缘有机质矿化中的占比在一半以上[71]。在强动力条件下移动泥发育的浅水三角洲或陆架区,有氧氧化与铁、锰参与的次氧化交替进行,导致沉积有机碳保存率极低[53,72]。除含氧量外,有机碳活性、铁锰质氧化剂及移动泥或活动层厚度等,也是影响非稳态条件下早期成岩作用的主要因素。亚马孙河口下游的圭亚那内陆架泥质带,移动泥作用深度为0.6~1.0 m,局部可达3.0 m左右,强烈的铁锰氧化物参与的厌氧氧化作用,不仅造成65%~70%以上的OCterr被再矿化,还改变了C/S和S同位素等组成,影响这些参数的古环境指示意义[45,72-73]。在飞河水下三角洲移动泥发育区,强烈的早期成岩作用同样导致有机碳保存率较低[47]。长江水下三角洲和东海内陆架泥质带均有移动泥发育,沉积有机碳再矿化作用显著,但也呈现较明显的区域性差异[53,74]
多数海洋沉积物再矿化室内培养实验取用浅表层0.5~1.0 m的沉积物柱样,主要观测早期成岩作用中上层氧化带和次氧化带的有机碳再矿化效率,很少涉及硫酸盐还原再矿化研究[52-53,74-75]。长江口和东海内陆架泥质区的SMTZ埋深通常为1.0~2.0 m,最深可达6.0~8.0 m,硫酸盐还原对有机碳再矿化的贡献较大,因此不容忽视[71,76-78]

3.4 人类活动影响

人类活动通过直接和间接两种方式影响三角洲-陆架有机碳沉积通量。流域内土地利用方式的改变,会导致进入内陆水域的有机质类型和通量发生较大变化;水库建设则更直接地影响河流向河口输出的有机质类型和通量。已有研究表明,全球湖泊和水库的碳埋藏通量为60~250 Tg·a-1(平均为150 Tg·a-1),其中约40%发生在水库中[3]。内陆水域面积只占陆地面积的不足2%,却贡献了相当显著的碳埋藏通量[22](图1)。这一方面得益于其相对稳定的沉积环境,尤其是缓流和高沉积速率水域,非常有利于碳的快速沉积和埋藏;另一方面,湖泊和库区的高初级生产力及底层水体易缺氧等条件,也有助于碳的富集与保存。但需注意的是,内陆水域也是大气CO2和甲烷排放的重要来源,这在一定程度上抵消了其碳汇效应[3]
流域水土保持与大坝建设等人类活动,导致全球入海泥沙量大幅减少,引发三角洲及邻近海域从淤积向侵蚀转变,原本作为海洋沉积碳汇中心的区域功能也发生重大转变[8,79-81]。长江流域三峡大坝建成后,不仅使入海泥沙量减少70%以上,还极大改变了大坝下游河道-河口-陆架连续体的沉积状态和碳循环,级联侵蚀效应已从中游河床逐步延伸至浙闽泥质带北侧[82-83]。受此影响,泥质区有机碳沉积通量已从2006年的6.13 Mt·a-1降至2018年的3.21 Mt·a-1,降幅达48%[79]。此外,中下游河床和三角洲的侵蚀作用,导致14C年龄更老的有机碳被输送至水下三角洲和陆架区再次沉积[84]。在强人类活动影响下,黄河流域水沙和有机碳输运格局也已从“自然驱动”快速转型为“人为调控”。近期调水调沙工程的影响尤为突出:调水期,小浪底水库释放清水冲刷下游河床,导致粗颗粒有机碳占比升高,入海后受切变锋限制快速沉降于河口浅水区;调沙期,水库释放高泥沙含量的人造洪水,携带以细颗粒土壤源为主的有机碳入海,由于颗粒较细,部分土壤源有机碳可保持悬浮状态继续向外海输运[85]
河口是重要的航道与港口资源,但因水深较浅且持续淤积,疏浚成为港口与航道通航能力的日常维护措施。据估算,全球河口海岸泥沙疏浚总量高达9 800 Mt·a-1[80]。目前,美国(约80%)、荷兰(>90%)和日本(约95%)等国家对疏浚土的利用率较高,我国广州南沙港和天津港的疏浚土利用率也分别达到89%和94%。自 1998 年长江口航道治理工程实施以来,疏浚量一直维持在较高水平,近期波动于6 000~10 000万 m3之间[86]。这些疏浚土常被用于海岸生态环境修复和围填海造地工程,这导致河口泥沙收支失衡,引发新的海岸和近海侵蚀等问题[82]。疏浚土用于海岸生态环境修复时,可进一步促进沉积碳汇;但用于填海造地时,可能因有机质暴露等发生碳丢失。目前,针对河口疏浚土利用引发的有机碳变化和通量,尚未开展专项研究。
此外,部分海域因渔业活动比较密集,尤其是底拖网作业,对陆架有机碳沉积过程和通量产生了显著影响,近期已引起广泛关注。底拖网是海洋渔业常见的捕捞方式,全球约有(1.48~2.24)×106 km2的海底长期受到底拖网影响,且大部分集中于陆架区[87-88]。其对海底的改造作用包括:底拖网渔具的横梁、网板和网袖等部件直接犁耕或刮刨海床沉积物,扰动深度可达数十厘米;作业期间引发海床沉积物强烈再悬浮(图6),导致近底层水体悬沙质量浓度升高至50~200 kg·m-3,较背景值高出1~2个数量级[89-90]。据估算,底拖网作业引起的海床沉积物再悬浮全球通量高达21 870 Mt·a-1[91],部分再悬浮的细粒沉积物在海流作用下向外输运,导致拖网区内泥沙收支失衡, 并出现沉积物粗化现象[92-93]。底拖网通过改变底边界层的物理和生物地球化学过程,会导致已埋藏的沉积有机碳重新暴露并发生再矿化,部分还会随再悬浮泥沙被海流带走,共同造成拖网区发生严重的碳丢失。SALA等[95]利用遥感等数据估算,全球约1.3%(4.9×105 km2)的海洋面积每年经历底拖网渔业活动影响,可能导致1 470 Tg·a-1的二氧化碳被重新释放,这一数值相当于海洋溶解泵碳汇的15%~20%,与陆地因农业活动导致的土壤碳丢失量相当。但由于缺乏对海洋沉积有机碳保存与再矿化复杂过程及影响机制的系统认识,SALA等[95]采用简化模型给出的模拟结果可能存在高估[96]。新的实测数据分析表明,底拖网对海洋沉积碳的影响与作业强度密切相关:在49个调查区中,61%的区域表层沉积碳库无明显变化,29%的区域出现降低,10%的区域呈现增加[97]。综合考虑多重因素影响,ZHANG等[94]构建了新模型,分别模拟不同底拖网影响情景下的有机碳保存与丢失通量,得出北海不同区域的净沉积碳汇量,模拟结果与实测数据较一致。研究发现,底拖网影响较弱的区域,沉积有机碳汇可能增加;但影响强烈的区域,净沉积有机碳汇通量会显著降低,其平均值(0.4±1.0 Mg·km-2·a-1)明显低于未受底拖网影响海区的对应值(1.5±1.1 Mg·km-2·a-1)(图6)。
图6 底拖网对海洋沉积有机碳保存及通量的影响

[a:自然情景下海洋底栖与浮游生物耦合作用对有机碳保存的影响;b:叠加底拖网作用下的情景;c:北海有/无底拖网作用两种情景下,模拟计算得到的不同作用(沉降、再矿化、大型底栖生物呼吸作用、生物扰动和底拖网)引起的有机碳沉积或丢失通量(左侧),和它们累计作用的有机碳净沉积通量(右侧)。图件改绘自文献[97]。]

Fig.6 Impacts of bottom trawling on the preservation and flux of marine sedimentary organic carbon

[a: Benthic-pelagic coupling in a natural system; b: Processes involved in bottom trawling; c: Model-estimated source and sink terms of OC in surface sediments in the No-trawling and trawling scenarios of the North Sea through different processes including deposition, remineralization, macrobenthos respiration, bioturbation and trawling-induced downward transport (left), and their cumulative OC deposition fluxes. The figure is redrawn from reference [97].]

4 沉积增汇的负排放方案

《全球碳计划》是“未来地球”倡议框架下的国际研究项目,每年年底发布“全球碳收支”年度报告。《2025年全球碳收支》于2025年11月13日以预印本形式发布在《Earth System Science Data》期刊上,并以动态数据集形式呈现[98]。数据分析显示,2025年大气CO2含量将达到425.7×10-6,较2024年上升2.3×10-6,比工业化前水平(1750年约278×10-6)高出约53%。报告指出,自工业化时代以来,地球温度已上升1.36 ℃,以当前排放水平,将升温控制在《巴黎协定》提出的1.5 ℃以下目标几乎不可能实现。按每新增180 Gt C的累积排放导致约0.1 ℃升温的预评估,要将升温控制在较1850—1900年水平高1.7~2.0 ℃以内,剩余碳预算已分别降至145 Gt和290 Gt,按2024年人为CO2总排放量(11.6±0.9 Gt·a-1)计算,排放窗口仅剩12年和25年,减排任务非常艰巨且刻不容缓。
当前,全球气候治理正在从科学共识阶段进入付诸行动阶段[16]。尽管减排仍是核心手段,但IPCC明确指出,仅靠减排已无法实现《巴黎协定》的温控目标,必须辅以大规模、可验证的碳移除(CDR)举措。然而,现有 CDR技术存在不够成熟、成本高昂及可能引发生态环境、次生地质灾害等问题,难以广泛推广。因此,基于自然生态系统、通过人为干预主动地吸收和封存 CO2的“负排放”方案成为重要选项。发达国家已开展负排放技术探索和行动计划:美国科学家于20 世纪 90 年代发起了“海洋铁施肥计划”,开展了大规模现场实验,但因生态问题陷入停滞;近期美国国家科学院又发布《海洋二氧化碳移除和封存研究策略》,详细分析了海洋生态修复、海水碱化增汇、人工上升/下降流、海洋施肥、大型海藻养殖及电化学增汇等6种海洋负排放方案;欧盟则启动了“基于海洋的负排放技术研究”、“脱碳路径中的海洋碳汇”和“海洋二氧化碳清除评价评估战略”等计划。我国科学家提出并主导了“全球负排放国际大科学计划(Ocean Negative Carbon Emissions,ONCE)”(http://www.global-once.org),该计划提出生物碳泵(biological carbon pump,BCP)、碳酸盐泵(carbonate carbon pump, CCP)、微型生物碳泵(microbial carbon pump,MCP)和溶解度泵(solubility carbon pump, SCP)四泵融合(BCMS)的海洋储碳最大化负排放方案,正在构建合情、合理、合法的技术方案,可行、可靠、可期的实施路径,以及海水养殖场、污水处理厂等行业应用场景[12,16]
尽管海洋沉积碳库具有稳定性高、储量大和时间尺度长等优势,在现有国内外海洋负排放计划中,沉积储碳增汇仍鲜有被系统纳入[12,16,99]。VESELIĆ等[3]提出,河口疏浚土的再利用,尤其是用于修复侵蚀海岸的湿地,可实现良好的固碳、储碳增汇效果,因为红树林和盐沼湿地是最高效的自然碳汇。通过水库调水调沙,既可减少库区泥沙淤积和温室气体排放,又能增加入海泥沙量,促进三角洲淤积、生态恢复和沉积碳汇。近期黄河调水调沙已取得显著效果,使原本侵蚀的三角洲恢复淤涨,实现了沉积储碳增汇[8,100-101]。通过改道工程将下游泥沙输送至近岸侵蚀区,可修复海岸湿地,甚至形成新的三角洲沉积体系,这是密西西比三角洲应对严重侵蚀海岸的重要对策。瓦克斯湖三角洲(Wax Lake delta)也是典型成功案例,自1952年以来,新形成的三角洲陆地面积已超过35 km2,平均有机碳沉积通量高达250±23 g·m-2·a-1,高于红树林(226±39 g·m-2·a-1)、盐沼(218±24 g·m-2·a-1)和海草床(138±38 g·m-2·a-1)的有机碳汇效率[102]
尽管沉积物管理是重要的固碳、储碳和增汇自然解决方案,但基于该方案开展碳交易仍处于早期探索阶段。要将其纳入全球碳交易,需建立可靠的沉积有机碳量化方法,评估其持久性和生态环境效应,形成可核查的报告,构建清晰的碳信用底层逻辑。目前仍面临诸多挑战:如何区分沉积物中新旧碳类型、明确其稳定性及各自占比;如何监测和准确计算空间异质性显著的沉积体系碳汇增量[3];如何监测和评估沉积物移出区和输入区的生态环境及综合碳平衡效应等。今后,除继续加强海洋沉积碳汇机制研究外,还需进一步构建可行、可靠、可期的沉积物管理和有机碳增汇方案,明确实施原则与路径、应用场景与监测评价方案,为沉积碳汇纳入全球碳交易市场奠定基础,并为全球气候治理提供新的解决思路与实践途径。

5 总结与展望

本文系统梳理了三角洲-陆架沉积体系中有机碳汇形成与演化机制的研究进展,得出以下主要结论。
1)三角洲-陆架沉积体系是全球海洋碳埋藏的核心区域,承载着陆源有机碳最终沉积与转化的关键功能。其中,中国黄海、东海等区域的POC沉积通量占全球边缘海约10%,在全球碳循环中发挥不可替代的作用。
2)陆源有机碳来源具有显著异质性,生物圈有机碳与古老岩石有机碳的迁移路径、反应活性及埋藏效率差异显著;沉积物与有机碳源汇过程耦合机制及LOAC循环模型的提出,为精准量化沉积物源汇体系不同界面碳通量研究提供了新框架。
3)有机碳源汇示踪技术不断精细化发展,研究手段已由传统的总有机碳分析拓展至单体分子与同位素结合应用,全样梯级热解法等方法为复杂沉积体系的碳循环研究提供了有效手段,而再矿化效率的计算因研究方法和区域环境差异存在一定变幅,沉积速率、含氧量及移动泥发育状况是影响有机碳保存的关键因素。
4)人类活动对沉积碳汇的影响呈现双向性与复杂性:水库建设、航道疏浚、底拖网渔业等通过改变泥沙输运、沉积动力条件,直接或间接影响有机碳的埋藏与再矿化过程;而河口疏浚土生态修复、流域调水调沙等人为干预措施,又为沉积增汇提供了可行路径,展现出“挑战与机遇并存”的特征。
5)在全球气候治理背景下,沉积碳汇作为稳定且潜力巨大的自然碳汇,尚未被充分纳入负排放战略,基于沉积物管理的增汇方案已展现出良好应用前景。
面向未来,沉积碳汇研究与应用亟需从以下四个维度实现突破与深化。
1)理论体系深化:以源汇系统理论为核心,强化沉积碳库作为活跃表层碳库与稳定地质碳库纽带的过程研究。重点开展多时空尺度下各子系统碳循环过程与机制、子系统间碳交换通量的耦合研究,解析陆源有机碳异质性、沉积环境理化条件与人类活动干扰的协同调控机制,构建沉积物源汇系统有机碳循环的系统性理论框架。
2)方法学创新升级:整合大数据、遥感监测与数值模拟技术,优化有机碳再矿化效率与埋藏通量的量化方法,解决不同区域、不同研究结果的可比性问题。完善双碳同位素与OC/SA联合示踪体系,开发适用于复杂陆架海的多端元混合模型,提升多源有机碳贡献量化的精准度;建立覆盖硫酸盐甲烷转换带(SMTZ)以下稳定层位的全链条碳循环观测方法,构建统一的学科交叉研究方案。
3)增汇技术精准研发:基于现有理论与实践经验,优化沉积物管理增汇方案,细化疏浚土湿地修复的碳汇效应评估标准,建立“移出-利用-监测”全流程技术规范;完善调水调沙的碳汇量化模型,明确水沙配比与碳埋藏效率的响应关系;探索河流改道、退化湿地修复等新路径,结合生物标志物与同位素技术追踪新增碳库的稳定性。同时,研发适应极端沉积环境(如缺氧区、高动力区)的增汇技术,提升方案的普适性。
4)实践应用场景拓展:建立沉积有机碳储量、稳定性及增量的精准监测与核查体系,开发空间异质性适配的碳通量核算模型,区分新旧碳类型并量化其贡献占比。构建科学可行的碳信用量化标准与交易机制,明确沉积碳汇的持久性验证方法与生态环境影响评估框架,推动沉积碳汇纳入全球碳交易市场。加强国际合作,整合全球三角洲-陆架观测数据,形成“理论-技术-标准-应用”的完整链条,为《巴黎协定》温控目标提供兼具科学性与实操性的沉积碳汇解决方案。
[1]
LEITHOLD E L, BLAIR N E, WEGMANN K W. Source-to-sink sedimentary systems and global carbon burial: A river runs through it[J]. Earth-Science Reviews, 2016, 153: 30-42.

DOI

[2]
HILTON R G, WEST A J. Mountains, erosion and the carbon cycle[J]. Nature Reviews Earth & Environment, 2020, 1(6): 284-299.

[3]
VESELIĆD R, SLIJEPČEVIĆ N, TENODI S, et al. From sink to strategy: Sediments at the nexus of carbon sequestration and climate action[J]. Earth-Science Reviews, 2025, 271: 105310.

DOI

[4]
BERNER R A. Burial of organic carbon and pyrite sulfur in the modern ocean: Its geochemical and environmental significance[J]. American Journal of Science, 1982, 282(4): 451-473.

DOI

[5]
GALY V, FRANCE-LANORD C, BEYSSAC O, et al. Efficient organic carbon burial in the Bengal fan sustained by the Himalayan erosional system[J]. Nature, 2007, 450(7168): 407-410.

DOI

[6]
ZONDERVAN J R, HILTON R G, DELLINGER M, et al. Rock organic carbon oxidation CO2 release offsets silicate weathering sink[J]. Nature, 2023, 623(7986): 329-333.

DOI

[7]
BURDIGE D J. Burial of terrestrial organic matter in marine sediments: A re-assessment[J]. Global Biogeochemical Cycles, 2005, 19(4): 2004GB002368.

[8]
LU T A, BIANCHI T S, SHIELDS M R, et al. Key role of river deltas in carbon sequestration through biospheric organic carbon burial[J]. Geology, 2026, 54(1): 55-60.

DOI

[9]
BAUER J E, CAI W J, RAYMOND P A, et al. The changing carbon cycle of the coastal ocean[J]. Nature, 2013, 504(7478): 61-70.

DOI

[10]
HEDGES J I, KEIL R G, BENNER R. What happens to terrestrial organic matter in the ocean?[J]. Organic Geochemistry, 1997, 27(5/6): 195-212.

DOI

[11]
BLAIR N E, ALLER R C. The fate of terrestrial organic carbon in the marine environment[J]. Annual Review of Marine Science, 2012, 4: 401-423.

PMID

[12]
焦念志, 骆庭伟, 刘纪化, 等. 海洋负排放:基于地球系统科学思维的海洋科技变革[J]. 中国科学院院刊, 2023, 38(9):1294-1305.

JIAO N Z, LUO T W, LIU J H, et al. Ocean negative carbon emissions in the context of earth system science[J]. Bulletin of Chinese Academy of Sciences, 2023, 38(9): 1294-1305.

[13]
GALY V, PEUCKER-EHRENBRINK B, EGLINTON T. Global carbon export from the terrestrial biosphere controlled by erosion[J]. Nature, 2015, 521(7551): 204-207.

DOI

[14]
GALY V, EGLINTON T. Protracted storage of biospheric carbon in the Ganges-Brahmaputra basin[J]. Nature Geoscience, 2011, 4(12): 843-847.

DOI

[15]
WANG C L, QIU Y F, HAO Z, et al. Global patterns of organic carbon transfer and accumulation across the land-ocean continuum constrained by radiocarbon data[J]. Nature Geoscience, 2024, 17(8): 778-786.

DOI

[16]
焦念志, 张传伦, 骆庭伟, 等. 秉持三重务实理念助力全球气候治理:海洋负排放国际大科学计划的科学认知与实践路径[J]. 中国科学院院刊, 2025, 40(10):1736-1744.

JIAO N Z, ZHANG C L, LUO T W, et al. Upholding“Triple REAL”vision for ocean negative carbon emissions to advance global climate governance[J]. Bulletin of Chinese Academy of Sciences, 2025, 40(10): 1736-1744.

DOI

[17]
ALLAN R R, ACHUTARAO K M. Climate change 2021: The physical science basis: Working Group I contribution to the sixth assessment report of the Intergovernmental Panel on Climate Change[M]. Geneva, Switzerland: WMO, IPCC Secretariat, 2021.

[18]
LUDWIG W, PROBST J L, KEMPE S. Predicting the oceanic input of organic carbon by continental erosion[J]. Global Biogeochemical Cycles, 1996, 10(1): 23-41.

DOI

[19]
SCHLÜNZ B, SCHNEIDER R R. Transport of terrestrial organic carbon to the oceans by rivers: Re-estimating flux-and burial rates[J]. International Journal of Earth Sciences, 2000, 88(4): 599-606.

DOI

[20]
CAI W J. Estuarine and coastal ocean carbon paradox: CO2 sinks or sites of terrestrial carbon incineration?[J]. Annual Review of Marine Science, 2011, 3: 123-145.

DOI

[21]
DAI M H, SU J Z, ZHAO Y Y, et al. Carbon fluxes in the coastal ocean: Synthesis, boundary processes, and future trends[J]. Annual Review of Earth and Planetary Sciences, 2022, 50: 593-626.

DOI

[22]
REGNIER P, RESPLANDY L, NAJJAR R G, et al. The land-to-ocean loops of the global carbon cycle[J]. Nature, 2022, 603(7901): 401-410.

DOI

[23]
焦念志, 梁彦韬, 张永雨, 等. 中国海及邻近区域碳库与通量综合分析[J]. 中国科学:地球科学, 2018, 48(11):1393-1421.

JIAO N Z, LIANG Y T, ZHANG Y Y, et al. Carbon pools and fluxes in the China Seas and adjacent oceans[J]. Science China Earth Sciences, 2018, 61(11): 1535-1563.

DOI

[24]
赵美训, 丁杨, 于蒙. 中国边缘海沉积有机质来源及其碳汇意义[J]. 中国海洋大学学报:自然科学版, 2017, 47(9):70-76.

ZHAO M X, DING Y, YU M. Sources of sedimentary organic matter in China marginal sea surface sediments and implications of carbon sink[J]. Periodical of Ocean University of China, 2017, 47(9): 70-76.

[25]
HU L M, SHI X F, BAI Y Z, et al. Recent organic carbon sequestration in the shelf sediments of the Bohai Sea and Yellow Sea, China[J]. Journal of Marine Systems, 2016, 155: 50-58.

DOI

[26]
石学法, 吴斌, 乔淑卿, 等. 中国东部近海沉积有机碳的分布、埋藏及碳汇效应[J]. 中国科学:地球科学, 2024, 54(10):3113-3133.

SHI X F, WU B, QIAO S Q, et al. Distribution, burial fluxes and carbon sink effect of sedimentary organic carbon in the eastern China seas[J]. Science China Earth Sciences, 2024, 67(10): 3062-3082.

DOI

[27]
LIEN W Y, CHEN C T, LEE Y H, et al. Two-stage oxidation of petrogenic organic carbon in a rapidly exhuming small mountainous catchment[J]. Communications Earth & Environment, 2025, 6: 45.

[28]
SUN X S, FAN D J, HU L M, et al. Oxidation of petrogenic organic carbon in a large river-dominated estuary[J]. Geochimica et Cosmochimica Acta, 2022, 338: 136-153.

DOI

[29]
KAO S J, LIN F J, LIU K K. Organic carbon and nitrogen contents and their isotopic compositions in surficial sediments from the East China Sea shelf and the southern Okinawa Trough[J]. Deep Sea Research Part II: Topical Studies in Oceanography, 2003, 50(6/7): 1203-1217.

DOI

[30]
CANUEL E A, HARDISON A K. Sources, ages, and alteration of organic matter in estuaries[J]. Annual Review of Marine Science, 2016, 8: 409-434.

DOI PMID

[31]
GOÑI M A, RUTTENBERG K C, EGLINTON T I. Sources and contribution of terrigenous organic carbon to surface sediments in the Gulf of Mexico[J]. Nature, 1997, 389(6648): 275-278.

DOI

[32]
ZHU C, WAGNER T, PAN J M, et al. Multiple sources and extensive degradation of terrestrial sedimentary organic matter across an energetic, wide continental shelf[J]. Geochemistry, Geophysics, Geosystems, 2011, 12(8): Q08011.

[33]
HU L M, SHI X F, YU Z G, et al. Distribution of sedimentary organic matter in estuarine-innershelf regions of the East China Sea: Implications for hydrodynamic forces and anthropogenic impact[J]. Marine Chemistry, 2012, 142: 29-40.

[34]
WU Y, EGLINTON T, YANG L Y, et al. Spatial variability in the abundance, composition, and age of organic matter in surficial sediments of the East China Sea[J]. Journal of Geophysical Research: Biogeosciences, 2013, 118(4): 1495-1507.

DOI

[35]
葛黄敏, 张传伦, VERSTEEGH G J M, 等. 中国东海过去1.4万年以来的沉积演化:基于脂类标记物的古环境重建[J]. 中国科学:地球科学, 2016, 46(2):127-140.

GE H M, ZHANG C L, VERSTEEGH G J M, et al. Evolution of the East China Sea sedimentary environment in the past 14 kyr: Insights from tetraethers-based proxies[J]. Science China Earth Science, 2016, 59(5): 927-938.

DOI

[36]
BAO R, BLATTMANN T M, MCINTYRE C, et al. Relationships between grain size and organic carbon 14C heterogeneity in continental margin sediments[J]. Earth and Planetary Science Letters, 2019, 505: 76-85.

DOI

[37]
WEI B B, MOLLENHAUER G, HEFTER J, et al. Dispersal and aging of terrigenous organic matter in the Pearl River Estuary and the northern South China Sea Shelf[J]. Geochimica et Cosmochimica Acta, 2020, 282: 324-339.

DOI

[38]
YU M, EGLINTON T I, HAGHIPOUR N, et al. Persistently high efficiencies of terrestrial organic carbon burial in Chinese marginal sea sediments over the last 200 years[J]. Chemical Geology, 2022, 606: 120999.

DOI

[39]
WILLIAMS E K, ROSENHEIM B E, ALLISON M, et al. Quantification of refractory organic material in Amazon mudbanks of the French Guiana Coast[J]. Marine Geology, 2015, 363: 93-101.

DOI

[40]
BAO R, ZHAO M X, MCNICHOL A, et al. On the origin of aged sedimentary organic matter along a river-shelf-deep ocean transect[J]. Journal of Geophysical Research: Biogeosciences, 2019, 124(8): 2582-2594.

DOI

[41]
HEMINGWAY J D, ROTHMAN D H, GRANT K E, et al. Mineral protection regulates long-term global preservation of natural organic carbon[J]. Nature, 2019, 570(7760): 228-231.

DOI

[42]
EGLINTON T I, BENITEZ-NELSON B C, PEARSON A, et al. Variability in radiocarbon ages of individual organic compounds from marine sediments[J]. Science, 1997, 277(5327): 796-799.

DOI

[43]
TAO S Q, EGLINTON T I, MONTLUÇON D B, et al. Diverse origins and pre-depositional histories of organic matter in contemporary Chinese marginal sea sediments[J]. Geochimica et Cosmochimica Acta, 2016, 191: 70-88.

DOI

[44]
WAKSMAN S A. On the distribution of organic matter in the sea bottom and the chemical nature and origin of marine humus[J]. Soil Science, 1933, 36(2): 125-147.

[45]
MCKEE B A, ALLER R C, ALLISON M A, et al. Transport and transformation of dissolved and particulate materials on continental margins influenced by major rivers: Benthic boundary layer and seabed processes[J]. Continental Shelf Research, 2004, 24(7/8): 899-926.

DOI

[46]
BIANCHI T S, ALLISON M A. Large-river delta-front estuaries as natural “recorders” of global environmental change[J]. Proceedings of the National Academy of Sciences, 2009, 106(20): 8085-8092.

DOI

[47]
ALLER R C, BLAIR N E. Early diagenetic reminerali-zation of sedimentary organic C in the Gulf of Papua deltaic complex (Papua New Guinea): Net loss of terrestrial C and diagenetic fractionation of C isotopes[J]. Geochimica et Cosmochimica Acta, 2004, 68(8): 1815-1825.

DOI

[48]
DENG B, ZHANG J, WU Y. Recent sediment accumulation and carbon burial in the East China Sea[J]. Global Biogeochemical Cycles, 2006, 20(3): 2005GB002559.

[49]
ZHAO B, YAO P, BIANCHI T S, et al. Controls on organic carbon burial in the Eastern China marginal seas: A regional synthesis[J]. Global Biogeochemical Cycles, 2021, 35(4): e2020GB006608.

[50]
BLATTMANN T M, LIU Z, ZHANG Y, et al. Mineralogical control on the fate of continentally derived organic matter in the ocean[J]. Science, 2019, 366(6466): 742-745.

DOI PMID

[51]
KEIL R G, MAYER L M, QUAY P D, et al. Loss of organic matter from riverine particles in deltas[J]. Geochimica et Cosmochimica Acta, 1997, 61(7): 1507-1511.

DOI

[52]
ALLER R C, MACKIN J E, ULLMAN W J, et al. Early chemical diagenesis, sediment-water solute exchange, and storage of reactive organic matter near the mouth of the Changjiang, East China Sea[J]. Continental Shelf Research, 1985, 4(1/2): 227-251.

DOI

[53]
YAO P, ZHAO B, BIANCHI T S, et al. Remineralization of sedimentary organic carbon in mud deposits of the Changjiang Estuary and adjacent shelf: Implications for carbon preservation and authigenic mineral formation[J]. Continental Shelf Research, 2014, 91: 1-11.

DOI

[54]
MIDDELBURG J J. A simple rate model for organic matter decomposition in marine sediments[J]. Geochimica et Cosmochimica Acta, 1989, 53(7): 1577-1581.

DOI

[55]
KATSEV S, CROWE S A. Organic carbon burial efficiencies in sediments: The power law of mineralization revisited[J]. Geology, 2015, 43(7): 607-610.

DOI

[56]
TROMP T K, VAN CAPPELLEN P, KEY R M. A global model for the early diagenesis of organic carbon and organic phosphorus in marine sediments[J]. Geochimica et Cosmochimica Acta, 1995, 59(7): 1259-1284.

DOI

[57]
HUTCHINGS J A, BIANCHI T S, NAJJAR R G, et al. Carbon deposition and burial in estuarine sediments of the contiguous United States[J]. Global Biogeochemical Cycles, 2020, 34(2): e2019GB006376.

[58]
STOLPOVSKY K, DALE A W, WALLMANN K. Toward a parameterization of global-scale organic carbon mineralization kinetics in surface marine sediments[J]. Global Biogeoche-mical Cycles, 2015, 29(6): 812-829.

[59]
REPASCH M, SCHEINGROSS J S, HOVIUS N, et al. Fluvial organic carbon cycling regulated by sediment transit time and mineral protection[J]. Nature Geoscience, 2021, 14(11): 842-848.

DOI

[60]
WANG X C, MA H Q, LI R H, et al. Seasonal fluxes and source variation of organic carbon transported by two major Chinese Rivers: The Yellow River and Changjiang (Yangtze) River[J]. Global Biogeochemical Cycles, 2012, 26(2): 2011GB004130.

[61]
TAO S Q, EGLINTON T I, MONTLUÇON D B, et al. Pre-aged soil organic carbon as a major component of the Yellow River suspended load: Regional significance and global relevance[J]. Earth and Planetary Science Letters, 2015, 414: 77-86.

DOI

[62]
LI G, WANG X T, YANG Z F, et al. Dam-triggered organic carbon sequestration makes the Changjiang (Yangtze) river basin (China) a significant carbon sink[J]. Journal of Geophysical Research: Biogeosciences, 2015, 120(1): 39-53.

DOI

[63]
WU Y, EGLINTON T I, ZHANG J, et al. Spatiotemporal variation of the quality, origin, and age of particulate organic matter transported by the Yangtze River (Changjiang)[J]. Journal of Geophysical Research: Biogeosciences, 2018, 123(9): 2908-2921.

DOI

[64]
石学法, 胡利民, 乔淑卿, 等. 中国东部陆架海沉积有机碳研究进展:来源、输运与埋藏[J]. 海洋科学进展, 2016, 34(3):313-327.

SHI X F, HU L M, QIAO S Q, et al. Progress in research of sedimentary organic carbon in the East China Sea: Sources, dispersal and sequestration[J]. Advances in Marine Science, 2016, 34(3): 313-327.

[65]
LIU Z F, ZHAO Y L, COLIN C, et al. Source-to-sink transport processes of fluvial sediments in the South China Sea[J]. Earth-Science Reviews, 2016, 153: 238-273.

DOI

[66]
卢龙飞, 蔡进功, 包于进, 等. 粘土矿物保存海洋沉积有机质研究进展及其碳循环意义[J]. 地球科学进展, 2006, 21(9):931-937.

DOI

LU L F, CAI J G, BAO Y J, et al. Summary of processes and significance of clay minerals in marine sedimentary organic matter preservation and in global carbon cycle[J]. Advances in Earth Science, 2006, 21(9): 931-937.

[67]
KEIL R G, TSAMAKIS E, FUH C B, et al. Mineralogical and textural controls on the organic composition of coastal marine sediments: Hydrodynamic separation using SPLITT-fractionation[J]. Geochimica et Cosmochimica Acta, 1994, 58(2): 879-893.

DOI

[68]
WANG J P, YAO P, BIANCHI T S, et al. The effect of particle density on the sources, distribution, and degradation of sedimentary organic carbon in the Changjiang Estuary and adjacent shelf[J]. Chemical Geology, 2015, 402: 52-67.

DOI

[69]
BAO R, MCINTYRE C, ZHAO M X, et al. Widespread dispersal and aging of organic carbon in shallow marginal seas[J]. Geology, 2016, 44(10): 791-794.

DOI

[70]
AUSÍN B, BRUNI E, HAGHIPOUR N, et al. Controls on the abundance, provenance and age of organic carbon buried in continental margin sediments[J]. Earth and Planetary Science Letters, 2021, 558: 116759.

DOI

[71]
ROBERTS A P, ZHAO X, HARRISON R J, et al. Signatures of reductive magnetic mineral diagenesis from unmixing of first-order reversal curves[J]. Journal of Geophysical Research: Solid Earth, 2018, 123(6): 4500-4522.

DOI

[72]
ALLER R C, BLAIR N E, XIA Q, et al. Remineralization rates, recycling, and storage of carbon in Amazon shelf sediments[J]. Continental Shelf Research, 1996, 16(5/6): 753-786.

DOI

[73]
ALLER R C, MADRID V, CHISTOSERDOV A, et al. Unsteady diagenetic processes and sulfur biogeochemistry in tropical deltaic muds: Implications for oceanic isotope cycles and the sedimentary record[J]. Geochimica et Cosmochimica Acta, 2010, 74(16): 4671-4692.

DOI

[74]
ZHAO B, YAO P, BIANCHI T S, et al. The reminerali-zation of sedimentary organic carbon in different sedimentary regimes of the Yellow and East China Seas[J]. Chemical Geology, 2018, 495: 104-117.

DOI

[75]
SONG G D, LIU S M, ZHU Z Y, et al. Sediment oxygen consumption and benthic organic carbon mineralization on the continental shelves of the East China Sea and the Yellow Sea[J]. Deep Sea Research Part II: Topical Studies in Oceanography, 2016, 124: 53-63.

DOI

[76]
ZHENG Y, ZHENG H B, KISSEL C, et al. Sedimentation rate control on diagenesis, East China Sea sediments[J]. Physics of the Earth and Planetary Interiors, 2011, 187(3/4): 301-309.

DOI

[77]
贺行良, 谭丽菊, 段晓勇, 等. 杭州湾沉积物中硫酸盐—甲烷转换带内的碳循环[J]. 海洋地质与第四纪地质, 2020, 40(3):51-60.

HE X L, TAN L J, DUAN X Y, et al. Carbon cycle within the sulfate-methane transition zone in the marine sediments of Hangzhou Bay[J]. Marine Geology & Quaternary Geology, 2020, 40(3): 51-60.

[78]
WANG C P, SU J F, SONG L, et al. Response of early diagenesis to methane leakage in the inner shelf of the East China Sea[J]. Frontiers in Marine Science, 2024, 11: 1410241.

DOI

[79]
WANG C L, HAO Z, GAO J H, et al. Reservoir construction has reduced organic carbon deposition in the East China Sea by half since 2006[J]. Geophysical Research Letters, 2020, 47(17): e2020GL087357.

[80]
SYVITSKI J, ÁNGEL J R, SAITO Y, et al. Earth’s sediment cycle during the Anthropocene[J]. Nature Reviews Earth & Environment, 2022, 3(3): 179-196.

[81]
BIANCHI T S, MAYER L M, AMARAL J H F, et al. Anthropogenic impacts on mud and organic carbon cycling[J]. Nature Geoscience, 2024, 17(4): 287-297.

DOI

[82]
GUO X J, FAN D D, ZHENG S W, et al. Revisited sediment budget with latest bathymetric data in the highly altered Yangtze (Changjiang) Estuary[J]. Geomorphology, 2021, 391: 107873.

DOI

[83]
WU Y J, FAN D D, SU J F. Cascading erosion in the tide-dominated Changjiang Delta: A novel radionuclide approach[J]. Geophysical Research Letters, 2025, 52(4): e2024GL113057.

[84]
SUN X S, FAN D J, LIAO H J, et al. Fate of organic carbon burial in modern sediment within Yangtze River Estuary[J]. Journal of Geophysical Research: Biogeosci-ences, 2020, 125(2): e2019JG005379.

[85]
LU T A, WANG H J, HU L M, et al. Dynamic transport of particulate organic carbon in the Yellow River during dam-orientated water-sediment regulation[J]. Marine Geology, 2023, 460: 107054.

DOI

[86]
程南宁, 左倬, 梅生成, 等. 利用疏浚土塑造长江口新横沙生态成陆示范区研究[J]. 人民长江, 2021, 52(6):25-29.

CHENG N N, ZUO Z, MEI S C, et al. Research on plan of using dredged soil to shape new Hengsha ecological land formation demonstration zone in Yangtze River Estuary[J]. Yangtze River, 2021, 52(6): 25-29.

[87]
WATLING L, NORSE E A. Disturbance of the seabed by mobile fishing gear: A comparison to forest clearcutting[J]. Conservation Biology, 1998, 12(6): 1180-1197.

DOI

[88]
AMOROSO R O, PITCHER C R, RIJNSDORP A D, et al. Bottom trawl fishing footprints on the world’s continental shelves[J]. Proceedings of the National Academy of Sciences of the United States of America, 2018, 115(43): 201802379.

[89]
CHURCHILL J H. The effect of commercial trawling on sediment resuspension and transport over the Middle Atlantic Bight continental shelf[J]. Continental Shelf Research, 1989, 9(9): 841-865.

DOI

[90]
PUIG P, CANALS M, COMPANY J B, et al. Ploughing the deep sea floor[J]. Nature, 2012, 489(7415): 286-289.

DOI

[91]
OBERLE F K J, STORLAZZI C D, HANEBUTH T J J. What a drag: Quantifying the global impact of chronic bottom trawling on continental shelf sediment[J]. Journal of Marine Systems, 2016, 159: 109-119.

DOI

[92]
PALANQUES A, PUIG P, GUILLÉN J, et al. Effects of bottom trawling on the Ebro continental shelf sedimentary system (NW Mediterranean)[J]. Continental Shelf Research, 2014, 72: 83-98.

DOI

[93]
RIJNSDORP A D, DEPESTELE J, MOLENAAR P, et al. Sediment mobilization by bottom trawls: A model approach applied to the Dutch North Sea beam trawl fishery[J]. ICES Journal of Marine Science, 2021, 78(5): 1574-1586.

DOI

[94]
ZHANG W Y, PORZ L, YILMAZ R, et al. Long-term carbon storage in shelf sea sediments reduced by intensive bottom trawling[J]. Nature Geoscience, 2024, 17(12): 1268-1276.

DOI

[95]
SALA E, MAYORGA J, BRADLEY D, et al. Protecting the global ocean for biodiversity, food and climate[J]. Nature, 2021, 592(7854): 397-402.

DOI

[96]
HIDDINK J G, VAN DE VELDE S J, MCCONNAUGHEY R A, et al. Quantifying the carbon benefits of ending bottom trawling[J]. Nature, 2023, 617(7960): E1-E2.

[97]
EPSTEIN G, MIDDELBURG J J, HAWKINS J P, et al. The impact of mobile demersal fishing on carbon storage in seabed sediments[J]. Global Change Biology, 2022, 28(9): 2875-2894.

DOI PMID

[98]
FRIEDLINGSTEIN P, O’SULLIVAN M, JONES M W, et al. Global carbon budget 2025[J]. Earth System Science Data, 2025, https://doi.org/10.5194/essd-2025-659.

[99]
于雷, 李三忠, 索艳慧, 等. 海岸海洋碳循环过程与CO2负排放[J]. 海洋学研究, 2023, 41(1):14-25.

DOI

YU L, LI S Z, SUO Y H, et al. Carbon cycling in costal ocean and CO2 negative emissions[J]. Journal of Marine Sciences, 2023, 41(1): 14-25.

[100]
WU X, BI N S, SYVITSKI J, et al. Can reservoir regulation along the Yellow River be a sustainable way to save a sinking delta?[J]. Earth’s Future, 2020, 8(11): e2020EF001587.

[101]
XU J Y, WANG H J, WU X, et al. Reservoir regulation changed terrestrial particulate organic carbon transport and burial processes off the Yellow River mouth[J]. Journal of Geophysical Research: Oceans, 2024, 129(12): e2024JC021700.

[102]
SHIELDS M R, BIANCHI T S, MOHRIG D, et al. Carbon storage in the Mississippi River delta enhanced by environmental engineering[J]. Nature Geoscience, 2017, 10(11): 846-851.

DOI

Outlines

/