Numerical simulation of the influence of submerged artificial structures on hydrodynamic characteristics and run-up of solitary waves over shore reefs

ZHU Lunjia, QU Ke, WANG Xu, WANG Chao, LI Tiankuo

Journal of Marine Sciences ›› 2025, Vol. 43 ›› Issue (1) : 107-121.

PDF(9587 KB)
PDF(9587 KB)
Journal of Marine Sciences ›› 2025, Vol. 43 ›› Issue (1) : 107-121. DOI: 10.3969/j.issn.1001-909X.2025.01.010

Numerical simulation of the influence of submerged artificial structures on hydrodynamic characteristics and run-up of solitary waves over shore reefs

Author information +
History +

Abstract

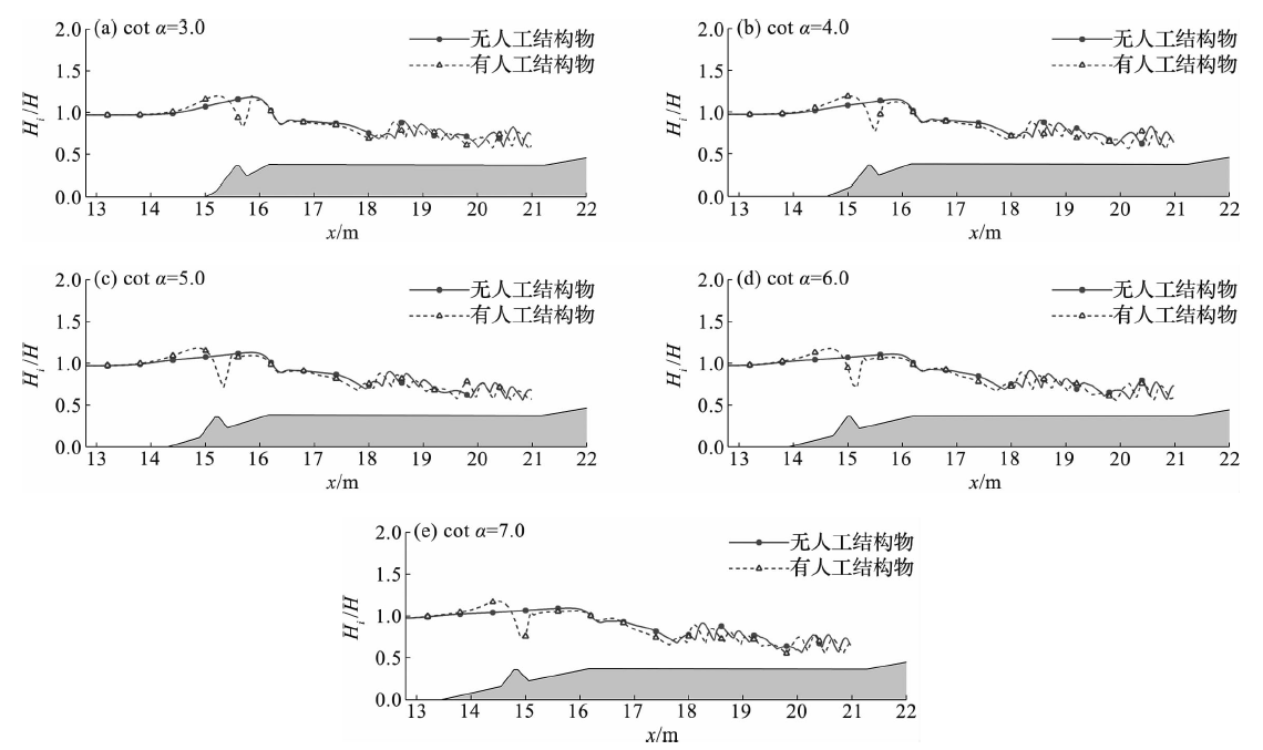
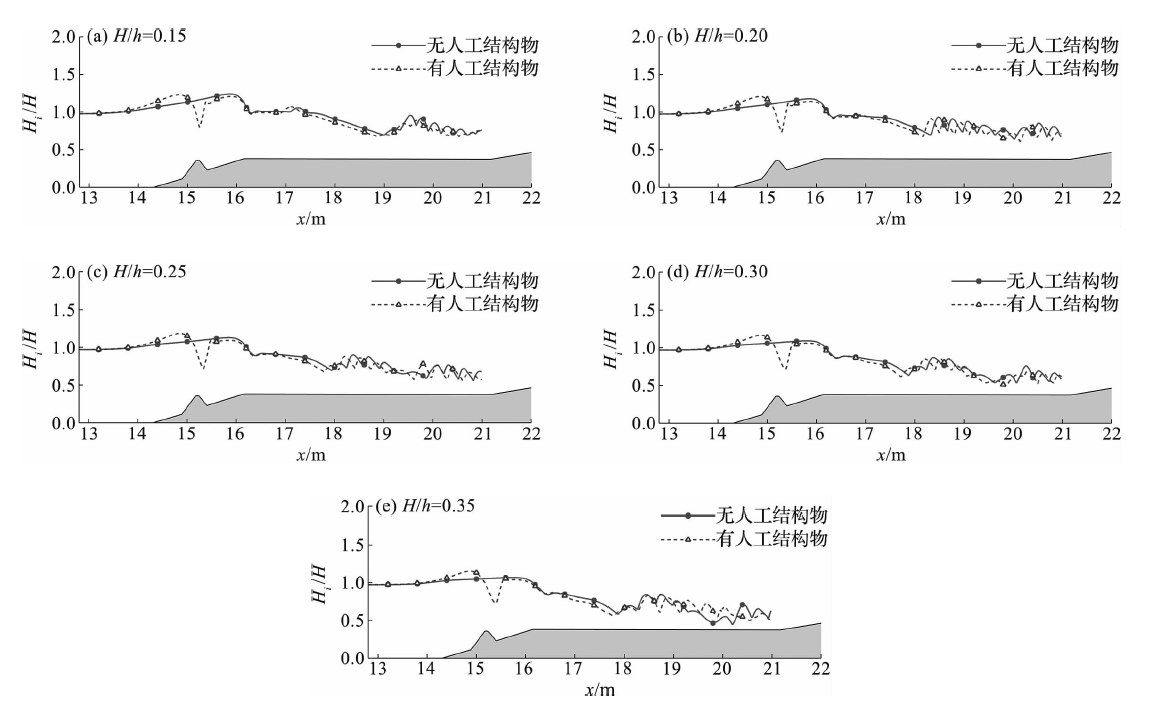
Global warming has led to rising sea levels and weakened the ability of natural barriers such as coral reefs to withstand extreme disasters like hurricanes and tsunamis. Therefore, artificial barriers, such as seawalls or submerged structures, need to be deployed near coasts to effectively protect shoreline areas. This study aims to investigate the hydrodynamic effects of submerged artificial structures on the propagation and deformation of solitary waves over reefs through numerical simulation. A high-precision wave numerical flume was established using the non-hydrostatic model NHWAVE, and the model was validated with experimental data. The study focused on analyzing the impacts of factors such as incident wave height, reef flat water depth, slope of artificial structure, peak width of artificial structures, and slope of the fore reef on hydrodynamic characteristics of solitary waves. Results show that the presence of submerged artificial structure increases wave reflection coefficients and induces vortex formation between waves and water, and the complex flow field can effectively dissipate part of the incident wave energy, which has a mitigating effect on the amplitude and climbing height of the solitary wave. The results of this study can provide a valuable reference for the design of submerged artificial structures.

Key words

solitary wave / numerical simulation / shore reef / submerged artificial structure / non-hydrostatic model / hydrodynamic properties

Cite this article

Download Citations
ZHU Lunjia , QU Ke , WANG Xu , et al . Numerical simulation of the influence of submerged artificial structures on hydrodynamic characteristics and run-up of solitary waves over shore reefs[J]. Journal of Marine Sciences. 2025, 43(1): 107-121 https://doi.org/10.3969/j.issn.1001-909X.2025.01.010

References

[1]
SYNOLAKIS C E, BERNARD E N. Tsunami science before and beyond Boxing day 2004[J]. Philosophical Transactions Series A, Mathematical, Physical, and Engineering Sciences, 2006, 364(1845): 2231-2265.
[2]
MORI N, TAKAHASHI T. The Tohoku Earthquake Tsunami Joint Survey Group. Nationwide post event survey and analysis of the 2011 Tohoku earthquake tsunami[J]. Coastal Engi-neering Journal, 2012, 54(1): 1250001.
[3]
TITOV V, RABINOVICH A B, MOFJELD H O, et al. The global reach of the 26 December 2004 Sumatra tsunami[J]. Science, 2005, 309(5743): 2045-2048.
Numerical model simulations, combined with tide-gauge and satellite altimetry data, reveal that wave amplitudes, directionality, and global propagation patterns of the 26 December 2004 Sumatra tsunami were primarily determined by the orientation and intensity of the offshore seismic line source and subsequently by the trapping effect of mid-ocean ridge topographic waveguides.
[4]
GOURLAY M R. Wave set-up on coral reefs. 1. Set-up and wave-generated flow on an idealised two dimensional horizontal reef[J]. Coastal Engineering, 1996, 27(3/4): 161-193.
[5]
YAO Y, JIA M J, JIANG C B, et al. Laboratory study of wave processes over fringing reefs with a reef-flat excavation pit[J]. Coastal Engineering, 2020, 158: 103700.
[6]
HARDY T A, YOUNG I R. Field study of wave attenuation on an offshore coral reef[J]. Journal of Geophysical Research: Oceans, 1996, 101(C6): 14311-14326.
[7]
LUGO-FERNÁNDEZ A, HERNÁNDEZ-ÁVILA M L, ROBERTS H H. Wave-energy distribution and hurricane effects on Margarita Reef, southwestern Puerto Rico[J]. Coral Reefs, 1994, 13(1): 21-32.
[8]
GRADY A E, MOORE L J, STORLAZZI C D, et al. The influence of sea level rise and changes in fringing reef morphology on gradients in alongshore sediment transport[J]. Geophysical Research Letters, 2013, 40(12): 3096-3101.
[9]
FARHADI A, EMDAD H, RAD E G. On the numerical simulation of the nonbreaking solitary waves run up on sloping beaches[J]. Computers & Mathematics with Applications, 2015, 70(9): 2270-2281.
[10]
LIU P L, AL-BANAA K. Solitary wave runup and force on a vertical barrier[J]. Journal of Fluid Mechanics, 2004, 505: 225-233.
[11]
张金牛, 吴卫, 刘桦, 等. 孤立波作用下斜坡堤越浪量的实验研究[J]. 水动力学研究与进展A辑, 2014, 29(6):656-662.
ZHANG J N, WU W, LIU H, et al. An experimental study on overtopping of solitary wave against a slope dike[J]. Chinese Journal of Hydrodynamics, 2014, 29(6): 656-662.
[12]
张良斌, 屈科, 黄竞萱, 等. 风对孤立波海堤越浪特性影响的数值模拟研究[J]. 海洋学研究, 2023, 41(4):32-45.
Abstract
海堤在保护沿海城镇免受极端波浪破坏方面具有重要作用。该文基于二维不可压缩两相流数值模型,系统研究了向岸风对孤立波海堤越浪特性的影响。通过数值计算结果与实验数据的对比,验证了该数值模型的可靠性,并重点讨论了向岸风风速、入射波高、堤顶超高、岸滩坡度和海堤坡度等因素对孤立波海堤越浪水动力过程的影响。研究表明:随着向岸风风速、入射波高的增大以及堤顶超高的减小,孤立波的最大越浪量、最大爬高以及沿程最大水位高程逐渐增大;随着岸滩坡度和海堤坡度的增大,孤立波的最大越浪量分别增大和减小,最大爬高逐渐增大。向岸风会影响孤立波海堤越浪的水动力特性,增大孤立波的波陡以及波峰传播速度,使波浪提前破碎;相比无风情况,最大越浪量、最大爬高、最大水动力荷载以及沿程最大水位高程均有所增大。研究结果可为海岸工程的设计提供参考。
ZHANG L B, QU K, HUANG J X, et al. Numerical simulation study on influences of onshore wind on overtopping characteristics of solitary wave under coastal seawall[J]. Journal of Marine Sciences, 2023, 41(4): 32-45.

Seawalls play an important role in protecting coastal towns from extreme waves damage. Based on two-dimensional incompressible two-phase flow numerical model, the influences of onshore wind on overtopping characteristics of solitary wave under coastal seawall were systematically studied in this paper. The reliability of the numerical model was verified by comparing the numerical results with experimental data, and the influencing factors such as onshore wind speed, incident wave height, crest freeboards of the coastal seawall, beach slope and seawall slope on the hydrodynamic process of solitary wave overtopping of coastal seawalls were discussed in detail. The research results show that with the increase of onshore wind speed, incident wave height and the decrease of crest freeboards of the coastal seawall, the maximum overtopping volume, maximum runup height and spatial distributions of the maximum water elevation gradually increase. With the increase of beach slope and seawall slope, the maximum overtopping volume increase and decrease, respectively, while the maximum runup height gradually increase. Onshore wind can affect the hydrodynamic characteristics of solitary wave overtopping of coastal seawall, increase the wave steepness and the wave crest propagation speed and cause the wave breaking earlier. Compared with the windless condition, the maximum wave overtopping volume, maximum runup height, maximum hydrodynamic forces and spatial distributions of the maximum water elevation are increased under onshore wind. The results of this study can provide a reference for the design of coastal engineering.

[13]
CHANG K G, HSU T J, LIU P L. Vortex generation and evolution in water waves propagating over a submerged rectangular obstacle Part I. Solitary waves[J]. Coastal Engineering, 2001, 44(1): 13-36.
[14]
LIN C, HO T C, CHANG S C, et al. Vortex shedding induced by a solitary wave propagating over a submerged vertical plate[J]. International Journal of Heat and Fluid Flow, 2005, 26(6): 894-904.
[15]
韩新宇, 董胜, 崔俊男. 潜堤上孤立波传播的格子Boltzmann法数值模拟[J]. 工程力学, 2019, 36(9):247-256.
HAN X Y, DONG S, CUI J N. Numerical study of the interaction between a solitary wave and submerge breakwater based on lattice Boltzmann method[J]. Engineering Mechanics, 2019, 36(9): 247-256.
[16]
TOUHAMI H E, KHELLAF M C. Laboratory study on effects of submerged obstacles on tsunami wave and run-up[J]. Natural Hazards, 2017, 87(2): 757-771.
[17]
YAO Y, HE F, TANG Z J, et al. A study of tsunami-like solitary wave transformation and run-up over fringing reefs[J]. Ocean Engineering, 2018, 149: 142-155.
[18]
肖理, 房克照, 孙家文, 等. 孤立波对礁坪上直墙冲击试验和RANS数值模拟[J]. 海洋工程, 2021, 39(4):86-95.
XIAO L, FANG K Z, SUN J W, et al. Experiment and RANS simulation of the impact of solitary wave on a straight wall mounted on reef flat[J]. The Ocean Engineering, 2021, 39(4): 86-95.
[19]
FU R L, MA Y X, DONG G H. Investigation of wave-driven currents and statistical moments of irregular waves over a one dimensional horizontal fringing reef[J]. Applied Ocean Research, 2021, 112: 102690.
[20]
王旭, 屈科, 门佳. 人工采砂坑对规则波岸礁水动力特性的影响研究[J]. 海洋通报, 2024, 43(1):69-85.
WANG X, QU K, MEN J. Study on the effects of artificial excavation pits on the hydrodynamic characteristics of regular wave over fringing reef[J]. Marine Science Bulletin, 2024, 43(1): 69-85.
[21]
王旭, 屈科, 门佳. 透水珊瑚岸礁亚重力波水动力特性数值研究[J]. 海洋学报, 2023, 45(9):152-167.
WANG X, QU K, MEN J. Numerical study on infragravity wave hydrodynamics of permeable fringing reef[J]. Haiyang Xuebao, 2023, 45(9): 152-167.
[22]
AI C F, MA Y X, YUAN C F, et al. Development and assessment of semi-implicit nonhydrostatic models for surface water waves[J]. Ocean Modelling, 2019, 144: 101489.
[23]
MA G F, SHI F Y, KIRBY J T. Shock-capturing non-hydrostatic model for fully dispersive surface wave processes[J]. Ocean Modelling, 2012, 43: 22-35.
[24]
RODI W. Examples of calculation methods for flow and mixing in stratified fluids[J]. Journal of Geophysical Research: Oceans, 1987, 92(C5): 5305-5328.
[25]
LIU W J, SHAO K Q, NING Y. A study of the maximum momentum flux in the solitary wave run-up zone over back-reef slopes based on a Boussinesq model[J]. Journal of Marine Science and Engineering, 2019, 7(4): 109.
[26]
TOUHAMI H E, BOUMARAF A, KHELLAF M C. Experimental study of low-crested structures’ porosity effect on tsunami waves and run-up[J]. Journal of Ocean Engineering and Marine Energy, 2022, 8(3): 369-380.
PDF(9587 KB)

Accesses

Citation

Detail

Sections
Recommended

/