Tidal flat topography inversion method based on tidal level complementary cumulative distribution function: A case study of Yueqing Bay

  • ZHANG Zhaoyuan , 1, 2, 3 ,
  • ZHANG Huaguo , 1, 2, 3, * ,
  • CAO Wenting 2, 3 ,
  • LI Dongling 2, 3
Expand
  • 1. School of Oceanography, Shanghai Jiao Tong University, Shanghai 200030, China
  • 2. Second Institute of Oceanography, MNR, Hangzhou 310012, China
  • 3. State Key Laboratory of Satellite Ocean Environment Dynamics, Hangzhou 310012, China

Received date: 2024-03-25

  Revised date: 2024-04-28

  Online published: 2025-08-05

Abstract

Tidal flats are influenced by tides, experiencing periodic inundation and exposure, thus the inundation frequency reflects the elevation of tidal flats. This study utilizes time-series SAR satellite remote sensing data to conduct research on the remote sensing inversion method of tidal flat topography based on tidal level complementary cumulative distribution function. The key lies in proposing a new method for inundation frequency correction based on the weighting scale of remote sensing observation counts. And, based on the mathematical definition of inundation frequency, the functional relationship between inundation frequency and tidal flat elevation was explored, leading to the construction of a tidal flat topography inversion model based on the tidal level complementary cumulative distribution function. Then, the validation of the method was conducted in the Yueqing Bay. Based on the time-series Sentinel-1 satellite SAR remote sensing data, the tidal flat topographies for the periods 2019-2020 and 2021-2022 were successfully inverted. The accuracy assessment was conducted based on the corresponding period’s ICESat-2 satellite laser altimetry data. The root mean square errors (RMSE)of the tidal flat topographies for the periods 2019-2020 and 2021-2022 were 0.41 m and 0.51 m, respectively. Additionally, the RMSE of topography for the period of 2019-2020 using in-situ data was 0.48 m. The accuracy assessment suggest that the proposed method in this study can achieve high-precision tidal flat topography without field-measured topographic data. It is expected to be applicable to the monitoring of tidal flat topography in more regions.

Cite this article

ZHANG Zhaoyuan , ZHANG Huaguo , CAO Wenting , LI Dongling . Tidal flat topography inversion method based on tidal level complementary cumulative distribution function: A case study of Yueqing Bay[J]. Journal of Marine Sciences, 2025 , 43(2) : 30 -38 . DOI: 10.3969/j.issn.1001-909X.2025.02.004

0 引言

潮滩是位于平均大潮高潮线与平均大潮低潮线之间的天然海陆缓冲区,随潮汐变化呈现周期性淹没与出露的特征,在减少沿海灾害、固定二氧化碳、维护地球生物多样性等方面发挥着至关重要的作用[1-3]。然而,受到海岸围垦、港口建设、拦河筑坝等人类活动以及海平面上升的共同影响,从1984年到2016年,全球共有超过20 000 km2的潮滩发生了退化[4]。潮滩地形调查监测对于分析滩涂演变、评估海岸稳定性至关重要。因此,迫切需要加强对潮滩范围、地形和类型进行动态精细化监测。
由于潮滩被潮水周期性淹没,滩面泥泞,难以到达,因此针对潮滩调查监测的现场工作往往难以开展[5]。机载激光雷达探测与航空摄影测量等机载遥感探测方法不受地面限制,可以获取较高精度的潮滩地形,但是由于滩面常常被水淹没,开展监测的时间窗口有限,且飞机作业需要较长时间,经济成本较高[6]。卫星遥感技术具有大范围、高时效、低成本的优点,并且积累了大量历史数据,因此星载遥感方法被广泛用于大范围潮滩地形监测[7-8]
水线法是基于卫星遥感获取潮滩地形的主要手段[9]。该方法是将卫星影像提取的一系列水边线视为等高线,并利用潮位数据为其赋值,插值后获取潮滩数字高程模型(digital elevation model, DEM)。穆敬等[10]选取6景BJ-1卫星影像,基于水线法反演了渤海湾中部沿岸区域的潮滩地形,均方根误差为0.19 m。周永等[11]基于Sentinel-2 MSI与Landsat OLI中分辨率影像,优化了水边线的提取策略,反演了江苏岸外辐射沙洲中部区域的潮滩地形,均方根误差为0.54 m。王子赫等[12]通过加入ICESat-2卫星激光测高数据来提高水边线赋值精度,基于10景多源卫星中分辨率影像,反演了江苏岸外辐射沙洲南侧区域的潮滩地形,均方根误差从0.45 m降至0.34 m。由于水线法只利用少量的高质量影像提取水边线用于潮滩地形反演,难以获取精细的潮滩地形特征[10-12]
高潮滩淹没频率较低,而低潮滩淹没频率较高,通过建立淹没频率与潮滩高程的关系,将淹没频率映射为潮滩地形,可以获取精细的潮滩DEM。基于潮滩呈现周期性淹没的特点,充分利用时序遥感观测资料,计算每一个观测像元被海水淹没的次数与像元有效观测次数之比,可以获得该像元的淹没频率[13]。每个像元的淹没频率差异反映了其高程差异。 XU等[14]利用ICESat-2卫星激光测高数据作为潮滩先验高程,构建了淹没频率与潮滩高程的查找表,获取了江苏岸外辐射沙洲的DEM,均方根误差介于0.23~0.49 m之间。CHEN等[15]使用地面实测数据作为先验高程,通过拟合淹没频率与潮滩高程的一次或三次函数关系反演了崇明东滩、三沙湾等8个区域的潮滩DEM,均方根误差介于0.16 ~0.44 m之间。上述研究依赖于先验高程数据来建立经验模型,缺乏对于淹没频率与潮滩高程关系的深入研究。同时,由于遥感卫星的重访频率(往往为数天)通常远大于潮位的变化周期(低至12.5小时),基于有限的遥感观测次数计算的淹没频率往往难以反映真实的淹没特征。
针对上述问题,本研究一方面分析了利用有限的遥感观测数据统计淹没频率时产生的抽样误差,构建了基于遥感观测次数权重缩放的淹没频率校正方法,以提高遥感反演淹没频率的准确性;另一方面,从淹没频率的数学定义出发,研究了淹没频率与潮滩高程的函数关系,构建了基于潮位互补累积分布函数的潮滩地形遥感反演模型,并以乐清湾为例进行了验证和评估。

1 研究区与数据

1.1 研究区

乐清湾是位于浙江省南部的半封闭海湾(图1),呈南北纵向分布,开口向南,海域面积达463 km2。湾内潮流为规则半日潮,潮周期为12小时25分。东海沿岸流向南输送的长江沉积物、内陆架再悬浮的沉积物和瓯江入海的沉积物随潮汐流入并在乐清湾内沉积[16],形成了湾内广阔的粉砂质黏土潮滩,面积可达
图1 研究区与基础数据分布

Fig.1 Study area and basic data distribution

221 km2,占整个海湾面积的近一半。湾内生态资源丰富,物种多样,具有重要的生态价值。同时湾内围海工程、港口航道、水产养殖等人为活动剧烈,对湾内环境带来威胁。开展乐清湾潮滩地形监测可为潮滩保护与管理工作提供必要的数据支撑,具有重要的现实意义。

1.2 研究数据

本研究主要使用了4种不同类型的数据:Sentinel-1 SAR影像数据、TPXO9 潮汐模型预报潮位数据、ICESat-2激光测高数据和船载单波束测深数据。Sentinel-1 SAR影像数据用于反演潮滩的淹没频率;TPXO9 潮汐模型预报潮位数据用于构建潮滩地形反演模型;ICESat-2激光测高数据与船载单波束测深数据作为验证数据,用于评估潮滩地形反演的精度。
Sentinel-1是合成孔径雷达(synthetic aperture radar, SAR)卫星,能够在各种天气条件下进行地表成像[17]。本研究收集了2019—2022年覆盖研究区的Level-1 GRD数据产品共224景,收集的影像均在IW模式下成像,具有VV极化,水陆界线清晰。所有影像均已完成预处理,并通过Simple Non-Iterative Clustering(SNIC)算法进一步平滑了影像中的散斑噪声[18]
TPXO9潮汐预报模型由美国俄勒冈州立大学开发[19]。对比全球不同区域的验潮站数据,该预报模型预测的M2分潮误差仅为厘米级[20]。基于该模型生成了2019—2022年乐清湾内逐小时的潮位以及时序Sentinel-1影像成像时的潮位。
ICESat-2是激光雷达测高卫星,使用激光脉冲(波长532 nm)来测量地球表面的高度[21]。本研究选取了美国国家冰雪数据中心收集的2019—2022年研究区域所有ICESat-2 ATL03数据,筛选后保留有效潮滩观测条带8条。通过XU等[14]的方法从数据中提取潮滩的高程,获得有效潮滩高程观测值782个。
船载单波束测深数据为实测地形数据,共有3 297个潮滩测量点。数据的深度基准面为理论最低潮面,数据采集时间为2019年。在本研究中,该实测数据被转换为相对EGM2008高程基准的高程数据,与ICESat-2数据以及潮滩地形反演结果保持基准系统的统一。

2 研究方法

本研究提出了一种基于时序Sentinel-1遥感影像和潮位互补累积分布函数的潮滩地形反演方法(图2),主要分为两大部分:第一部分开展时序影像的自动化水陆分割,并通过基于遥感观测次数权重缩放的淹没频率校正方法获取相对准确的淹没频率;第二部分基于潮位的互补累积分布函数,构建淹没频率与潮滩高程的关系模型,用于将淹没频率转化为潮滩地形。地形反演的精度通过实测数据与ICESat-2数据进行评估。
图2 潮滩地形反演方法技术流程图

Fig.2 The flow chart of the tidal flat topography inversion method

2.1 遥感淹没频率校正方法

潮滩淹没频率是指潮滩被海水淹没的时长与观测周期之比,按照定义给出淹没频率的数学表达公式:
F= t h > H T
式中:F为淹没频率,h为潮位,H为潮滩高程,th>H为潮滩被淹没的时长,T为观测周期。
类似地,基于时序遥感观测可以统计潮滩的淹没频率,称之为遥感淹没频率。对于任意像元,其遥感淹没频率可据下式计算:
Fr= n w a t e r N
式中:Fr为遥感淹没频率,nwater表示像元处于淹没状态下的观测次数(像元在时序影像中被分类为水的次数),N表示对像元的有效观测次数。
由此可见,要进行遥感淹没频率计算,首先要完成像元的分类,确定是否被海水淹没。在时序Sentinel-1影像中,海面的后向散射强度受成像角度、风速、潮位等多方面因素影响,表现出明显的差异。因此,对于时序Sentinel-1影像,难以制定统一的分割阈值进行水陆分割。大津法[22]是常用的自适应阈值方法,基于影像强度信息,通过最大化类间方差寻找最优分割阈值。本研究使用大津法生成自适应的分割阈值,对时序Sentinel-1影像进行水陆分割,以识别潮滩像元的(非)淹没状态。在此基础上,通过公式(2)可以反演潮滩像元的遥感淹没频率。
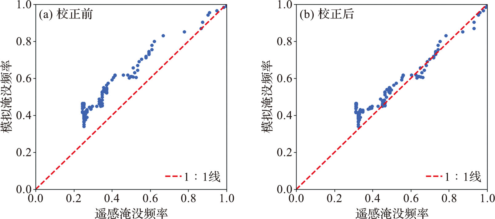
由于卫星重访周期的限制,遥感观测的次数相对有限,有限的抽样观测使得样本不足以代表总体,因此基于有限的遥感观测统计的淹没频率总是会存在较大的抽样误差。通过TPX09潮汐预报模型生成的密集预报潮位,可模拟潮滩的淹没频率,称为模拟淹没频率。将其与遥感淹没频率进行对比,分析基于有限的遥感观测统计淹没频率时产生的抽样误差。对比时序遥感观测时的潮位概率分布与预报潮位的概率分布(图3a)可知,乐清湾2019—2022年的Sentinel-1卫星遥感观测更多集中在低潮时期,潮滩多处于非淹没状态,意味着遥感淹没频率往往低于模拟淹没频率(图4a)。
图3 遥感观测次数权重缩放前、后时序遥感影像潮位概率分布与预报潮位概率分布的比较

Fig.3 Comparison of the probability distributions of tide levels in time series remote sensing images before and after the weighting scale of remote sensing observation counts with the probability distribution of forecasted tide levels

图4 校正前、后遥感淹没频率与模拟淹没频率的比较

Fig.4 Comparison of uncorrected and corrected remote sensing inundation frequency with simulated inundation frequency

针对通过有限的遥感观测统计淹没频率时存在的抽样误差,本研究提出了基于遥感观测次数权重缩放的淹没频率校正方法(简称权重缩放校正方法)。对于有限的遥感观测产生的样本与总体之间的偏差,使用密集预报潮位作为先验信息获得总体分布情况,基于总体分布调整不同潮位状态下遥感观测的样本权重,以消除样本分布与总体分布的差异。具体而言就是通过权重因子缩放遥感影像代表的观测次数,对于拥有较多遥感影像的潮位区间,使用较小的权重,缩小影像代表的观测次数,对于拥有较少遥感影像的潮位区间,使用较大的权重,放大影像代表的观测次数。基于权重因子给出淹没频率的校正公式
F'r= j = 1 n w a t e r k j i = 1 N k i
式中:F'r为校正后的遥感淹没频率, j = 1 n w a t e rkj表示像元处于淹没状态下的加权观测次数; i = 1 Nki表示像元有效观测的加权观测次数;k表示影像对应的权重因子,通过计算预报潮位的概率分布与遥感观测时的潮位概率分布之比获得。
首先将潮位区间均匀划分为若干区间,然后计算不同潮位区间内的权重因子,赋予该区间内的影像。任意区间内,权重因子等于预报潮位处于该区间内的概率与成像时的潮位处于该区间内的概率之比。
通过权重缩放校正方法校正了乐清湾内的遥感淹没频率,获取了两期校正后的遥感淹没频率。遥感影像观测次数权重缩放后的潮位概率分布与预报潮位的概率分布趋于一致(图3b)。相较于初始反演的遥感淹没频率,权重缩放校正后的遥感淹没频率与模拟淹没频率表现出良好的一致性,这表明权重缩放校正消除了由于遥感观测次数相对有限引起的抽样误差,校正后的遥感淹没频率具有更高的精度(图4b)。

2.2 潮滩地形反演模型

根据淹没频率的数学定义,淹没频率也表示潮位h大于潮滩高程H的概率,即
t h > H T=P h > H
式中:P h > H为潮位h大于潮滩高程H的概率,也表示互补累积概率,则有
P h > H=1-P h H
式中:P h H表示潮位h小于潮滩高程H的概率,即累积概率:
P h H=Fh H= - H  f(h)dh
式中:Fh H为潮位h的累积分布函数;f(h)为潮位h的概率密度函数。
根据公式(1)、(4)、(5)、(6)可以给出潮滩淹没频率F与潮滩高程H的函数关系:
F=1-Fh H= H +  f(h)dh
式中: H +  f(h)dh为潮位互补累积分布函数。
根据公式(7)可知,基于潮位的互补累积分布函数可以获取潮滩淹没频率与潮滩高程的函数关系。本研究基于潮位互补累积分布函数建立潮滩地形反演模型,通过多项式拟合获取潮位互补累积分布函数,构建淹没频率与潮滩高程的关系模型。首先基于密集预报潮位计算不同高程值H对应的潮位互补累积概率P t > H;然后通过多项式拟合获取互补累积概率与高程的函数关系,根据公式(4)可知淹没频率与互补累积概率等价,于是可获得潮滩淹没频率与潮滩高程的函数关系。最后将该函数应用于遥感淹没频率以反演潮滩地形。
使用乐清湾2021—2022年的逐小时预报潮位数据计算潮位互补累积概率,通过多项式拟合,构建潮滩淹没频率与潮滩高程的关系模型(图5a),多项式拟合的最优阶数通过比较不同阶数下拟合曲线与数据之间的均方根误差进行判别(图5b)。最终建立的模型为9阶多项式函数:
H= i = 0 9ai·(F'r)i
式中:H表示潮滩高程;(F'r)i表示校正后的遥感淹没频率的i次方;ai为拟合得到的系数,以矩阵形式表示:
A= a 0 , a 1 , , a 9= 2.78 , - 16.8,197.4 , - 1   648.5,7   871 ,-22 403,38 455,-38 943,21 401, - 4   920
图5 基于潮位互补累积概率拟合淹没频率与潮滩高程的关系(a)以及拟合最优阶数的判别(b)

Fig.5 Fitting of the relationship between inundation frequency and tidal flat elevation based on the complementary cumulative probability of tide level (a)and optimal order of polynomial fitting (b)

3 结果与讨论

3.1 结果及验证

结合校正后的遥感淹没频率与构建的反演模型,反演了乐清湾潮滩地形(图6)。将陆地、水体与盐沼区域掩膜,不参与地形反演。陆地、水体掩膜通过遥感淹没频率生成[14]:淹没频率高于0.95的区域作为水体,淹没频率低于0.05的区域作为陆地。盐沼则基于光学影像的植被指数提取。
图6 潮滩地形反演结果

Fig.6 Tidal flat topography inversion results

通过计算潮滩地形反演结果与验证数据之间的均方根误差(RMSE)和决定系数(R2)来定量评估地形反演的准确性。用到的验证数据有3组:2019年采集的实测数据,2019—2020年的ICESat-2数据与2021—2022年的ICESat-2数据。前两组数据用于验证2019—2020年的地形反演结果,后一组数据用于验证2021—2022年的地形反演结果。其中,基于ICESat-2数据与实测数据的验证结果显示,2019—2020年地形的均方根误差分别为0.41 m和0.48 m,R2为0.75和0.68(图7a7b);2021—2022年仅使用ICESat-2数据验证的RMSE为0.51 m,R2为0.69(图7c)。其中,使用的实测数据超过3 000个点,覆盖的潮滩区域超过50 km2,地形反演结果得到了充分验证。验证结果表明,本方法反演出的潮滩地形具有可靠的精度。
图7 潮滩地形反演结果精度验证

Fig.7 Accuracy assessment for the tidal flat topography inversion results

3.2 讨论

3.2.1 遥感淹没频率校正的影响

遥感淹没频率是潮滩地形遥感反演的基础,由于有限的遥感观测样本难以代表总体情况,基于遥感反演的淹没频率与实际淹没频率之间存在较大的抽样误差(图4a)。这种情况下,即便构建出的淹没频率-潮滩高程模型精度很高,地形反演也会受到淹没频率反演精度的限制,存在较大的误差。使用淹没频率-潮滩高程模型对未进行校正的遥感淹没频率进行映射,得到了同样两期潮滩反演地形并进行精度验证(图8)。与基于遥感观测次数权重缩放的淹没频率校正后的反演精度(图7)进行对比,校正后的反演精度分别提升了0.36 m,0.29 m和0.35 m。因此,鉴于遥感观测次数的有限性,进行可靠的淹没频率校正是确保潮滩地形高精度反演的基础。
图8 基于未校正的淹没频率反演的潮滩地形精度验证

Fig.8 Accuracy assessment for the tidal flat topography inversion results based on uncorrected inundation frequency

3.2.2 与已有潮滩地形反演方法对比

现有基于淹没频率的潮滩地形反演方法主要包括:XU等[14]依赖潮滩先验高程建立淹没频率与潮滩高程的查找表来实现潮滩地形反演;CHEN等[15]将基于先验高程建立的淹没频率与潮滩高程的一次函数关系或三次函数关系用于潮滩地形反演。使用2019—2020年的ICESat-2卫星激光测高数据作为潮滩先验高程,在乐清湾区域基于Sentinel-1时序影像复现了XU等[14]与CHEN等[15]的方法,获取了乐清湾2019—2020年潮滩地形数据,再使用ICESat-2卫星激光测高数据与实测地形数据对反演结果进行验证,并与本研究的结果进行对比(表1)。由对比结果可知,本研究构建的潮滩地形反演方法无需潮滩先验高程数据,取得了与已有的先验高程数据控制下的方法相近的反演精度。
表1 本研究中的潮滩地形反演方法与已有反演方法对比

Tab.1 Comparison between the tidal flat topography inversion method of this study and existing methods

潮滩地形反演方法 2019—2020年地形反演均方根误差/m
ICESat-2数据验证 实测数据验证
本研究的方法 0.41 0.48
XU等[14]的方法 0.38 0.48
CHEN等[15]的方法
(一次函数)
0.42 0.50
CHEN等[15]的方法
(三次函数)
0.40 0.47

4 结论

本文针对有限遥感观测统计淹没频率时的抽样误差提出了基于遥感观测次数权重缩放的淹没频率校正方法,并构建了基于潮位互补累积分布函数的潮滩地形反演模型,形成了一种基于时序Sentinel-1遥感数据的潮滩地形反演方法,主要结论如下。
1)基于淹没频率的数学定义,揭示了淹没频率与潮位互补累积概率之间的等价关系,为通过求解潮位互补累积分布函数获取淹没频率与潮滩高程的关系提供了理论依据。
2)基于遥感观测次数权重缩放校正方法有效地消除了因遥感观测次数有限产生的抽样误差,提高了淹没频率与潮滩地形的反演精度。实验结果表明,基于校正后的淹没频率反演的潮滩地形均方根误差比不进行淹没频率校正直接反演的潮滩地形误差降低了0.29~0.36 m。
3)构建的潮滩地形反演方法成功应用于乐清湾潮滩地形遥感反演,获得了两期高分辨率潮滩地形。在无先验地形数据控制的情况下,反演精度与已有反演方法相当,展现了该方法在实际应用中的良好潜力。

感谢欧洲航天局提供的Sentinel-1 卫星合成孔径雷达遥感影像数据,感谢美国国家冰雪数据中心提供的ICESat-2卫星激光雷达数据,感谢美国俄勒冈州立大学开发并提供研究者免费使用的TPXO9潮汐预报模型。感谢厦门大学李炎教授对本研究提供的指导与宝贵意见。

[1]
ALLEN J R L. Morphodynamics of Holocene salt marshes: A review sketch from the Atlantic and southern north sea coasts of Europe[J]. Quaternary Science Reviews, 2000, 19(12): 1155-1231.

[2]
PATERSON D M, FORTUNE I, ASPDEN R J, et al. Intertidal flats[M]// Coastal wetlands. Amsterdam: Elsevier, 2019: 383-406.

[3]
ALONGI D M. Carbon sequestration in mangrove forests[J]. Carbon Management, 2012, 3(3): 313-322.

[4]
MURRAY N J, PHINN S R, DEWITT M, et al. The global distribution and trajectory of tidal flats[J]. Nature, 2019, 565(7738): 222-225.

[5]
JUNG R, ADOLPH W, EHLERS M, et al. A multi-sensor approach for detecting the different land covers of tidal flats in the German Wadden Sea: A case study at Norderney[J]. Remote Sensing of Environment, 2015, 170: 188-202.

[6]
ZHANG H F, WANG L, ZHAO Y F, et al. Application of airborne LiDAR measurements to the topographic survey of the tidal flats of the northern Jiangsu radial sand ridges in the southern Yellow Sea[J]. Frontiers in Marine Science, 2022, 9: 871156.

[7]
RYU J H, CHOI J K, LEE Y K. Potential of remote sensing in management of tidal flats: A case study of thematic mapping in the Korean tidal flats[J]. Ocean & Coastal Management, 2014, 102: 458-470.

[8]
SALAMEH E, FRAPPART F, ALMAR R, et al. Monitoring beach topography and nearshore bathymetry using spaceborne remote sensing: A review[J]. Remote Sensing, 2019, 11(19): 2212.

[9]
MASON D C, DAVENPORT I J, ROBINSON G J, et al. Construction of an inter-tidal digital elevation model by the ‘Water-Line’ Method[J]. Geophysical Research Letters, 1995, 22(23): 3187-3190.

[10]
穆敬, 吴迪, 朱穆华, 等. 基于BJ-1影像和高分辨率潮汐网格的潮滩DEM构建[J]. 海洋测绘, 2018, 38(1):39-42.

MU J, WU D, ZHU M H, et al. Tidal land digital elevation model establishment based on Beijing-1 small satellite image and high-resolution tidal level grid[J]. Hydrographic Surveying and Charting, 2018, 38(1): 39-42.

[11]
周永, 张东, 邓慧丽, 等. 岸外沙洲潮间带地形的增强型遥感构建方法[J]. 海洋学报, 2021, 43(12):133-143.

ZHOU Y, ZHANG D, DENG H L, et al. The enhanced construction method for intertidal terrain of offshore sandbanks by remote sensing[J]. Haiyang Xuebao, 2021, 43(12): 133-143.

[12]
王子赫, 康彦彦, 王敏京. ICESat-2与多源光学影像的潮滩地形反演方法[J]. 测绘通报, 2023(5):51-55,61.

DOI

WANG Z H, KANG Y Y, WANG M J. ICESat-2 and multivariate optical image for tidal flat topography inversion methods[J]. Bulletin of Surveying and Mapping, 2023(5): 51-55, 61.

DOI

[13]
CAO W T, ZHOU Y Y, LI R, et al. Mapping changes in coastlines and tidal flats in developing islands using the full time series of Landsat images[J]. Remote Sensing of Environment, 2020, 239: 111665.

[14]
XU N, MA Y, YANG J, et al. Deriving tidal flat topography using ICESat-2 laser altimetry and Sentinel-2 imagery[J]. Geophysical Research Letters, 2022, 49(2): e2021GL096813.

[15]
CHEN C P, ZHANG C, TIAN B, et al. Tide2Topo: A new method for mapping intertidal topography accurately in complex estuaries and bays with time-series Sentinel-2 images[J]. ISPRS Journal of Photogrammetry and Remote Sensing, 2023, 200: 55-72.

[16]
ZHU M H, XIA X M, CHEN Y N, et al. Spatiotemporal variation of tidal wetlands affected by human activities during the past 50 years: A case study of Yueqing bay in Eastern China[J]. Land, 2023, 12(4): 851.

[17]
TORRES R, SNOEIJ P, GEUDTNER D, et al. GMES Sentinel-1 mission[J]. Remote Sensing of Environment, 2012, 120: 9-24.

[18]
ACHANTA R, SÜSSTRUNK S. Superpixels and polygons using simple non-iterative clustering[C]// 2017 IEEE Conference on Computer Vision and Pattern Recognition (CVPR). July 21-26, 2017, Honolulu, HI, USA. IEEE, 2017: 4895-4904.

[19]
EGBERT G D, BENNETT A F, FOREMAN M G G. TOPEX/POSEIDON tides estimated using a global inverse model[J]. Journal of Geophysical Research: Oceans, 1994, 99(C12): 24821-24852.

[20]
STAMMER D, RAY R D, ANDERSEN O B, et al. Accuracy assessment of global barotropic ocean tide models[J]. Reviews of Geophysics, 2014, 52(3): 243-282.

[21]
MARKUS T, NEUMANN T, MARTINO A, et al. The ice, cloud, and land elevation satellite-2 (ICESat-2): Science requirements, concept, and implementation[J]. Remote Sensing of Environment, 2017, 190: 260-273.

[22]
OTSU N. A threshold selection method from gray-level histograms[J]. IEEE Transactions on Systems, Man, and Cybernetics, 1979, 9(1): 62-66.

Outlines

/